Quiz de habilidad numérica

Quiz de habilidad numérica

¿Alguna vez te has preguntado qué tan rápido y preciso eres al resolver problemas en un Quiz de habilidad numérica? Esta prueba de 40 preguntas está diseñada para retar tu agilidad mental, tu concentración y tu dominio de las operaciones básicas, justo como lo exigen exámenes tipo ICFES, pruebas psicotécnicas y procesos de admisión donde cada segundo importa.
Para que tu entrenamiento sea más realista, te recomiendo usar un cronómetro externo (el de tu celular o el del navegador) y trabajar con uno de estos dos tiempos: 20 o 30 minutos.

20 minutos — Nivel de agilidad sobresaliente

Si completas las 40 preguntas en 20 minutos, estarás demostrando rapidez mental de alto rendimiento. Este nivel es perfecto si te estás preparando para pruebas con límite estricto de tiempo. Significa que piensas rápido, te concentras bien y tomas decisiones acertadas bajo presión.

30 minutos — Nivel de precisión y buen ritmo

Si finalizas en 30 minutos, también estás en un excelente nivel. Este tiempo es ideal si quieres reforzar tu seguridad, fortalecer tus métodos de cálculo y ganar confianza antes de buscar mayor velocidad. Es un equilibrio perfecto entre rapidez y exactitud.

🔁 Repite el reto las veces que quieras

Lo más valioso de este quiz es que te permite medir tu progreso, comparar tus marcas y volver a intentarlo hasta que alcances el ritmo que deseas. Cada intento te ayudará a mejorar, poco a poco, de manera natural.


Quiz de habilidad numérica


Ahora cuéntame en los comentarios

Nos interesa mucho saber tu experiencia: ¿qué te pareció esta prueba?, ¿el tiempo te resultó adecuado?, ¿sentiste que alguna pregunta fue muy difícil o muy fácil?, ¿te gustaría que agregáramos más ejercicios, nuevos niveles o incluso un modo avanzado?

Tu opinión es valiosa porque permite mejorar esta herramienta para que más estudiantes y aspirantes puedan entrenarse con recursos de calidad. Déjame tus sugerencias, sensaciones, ideas o incluso tu puntaje final. ¡Construyamos juntos el mejor espacio de práctica para habilidades numéricas!

Síguenos en redes sociales

© LaProfeMatematik · Aprender con amor de Dios y mucha pasión

La Parábola: Concepto, elementos, ecuaciones y 10 ejercicios resueltos.

La Parábola: Concepto, elementos, ecuaciones y 10 ejercicios resueltos.

Movimiento parabólico¿Te has preguntado alguna vez qué tiene que ver la parábola con cosas que ves todos los días?
Piensa en el chorro de agua que sale de una botella cuando la aprietas, en la trayectoria que hace un balón cuando lo pateas con un buen efecto, o en la forma curva de una lámpara que refleja la luz justo donde la necesitas. Aunque no lo notes, todas esas situaciones comparten la misma figura matemática.
Esa curva tan característica —suave, simétrica y fácil de reconocer— es la parábola. Conocerla te ayudará no solo en tus clases, sino también a entender por qué muchos objetos, diseños y movimientos del día a día tienen esa forma tan particular.


¿Qué es la parábola?

La parábola es el lugar geométrico de los puntos de un plano que mantienen la misma distancia a un punto fijo llamado foco (F) y de una recta fija denominada directriz.

En otras palabras la parábola es una curva cónica definida por la igualdad de distancia entre un punto fijo llamado foco (F) y una recta fija (directriz). Observa la imagen:

Definición.png


¿Es importante aprenderse la definición?

Si, cuando comprendes que cada punto de la parábola está a la misma distancia del foco y de la directriz, empiezas a ver que la curva no es un dibujo caprichoso: responde a una regla geométrica muy precisa. Esa idea te permite interpretar las ecuaciones, identificar una parábola en cualquier forma y resolver problemas con más seguridad, es decir ayuda a darle sentido geométrico y cuando comprendes el sentido los procedimientos dejan de ser complicados y comienza a tener lógica.

Compruébalo tú mismo la definición con este simulador interactivo

Mueve el punto P a lo largo de la curva y observa cómo siempre se mantiene la misma distancia al foco y a la directriz.

Es una forma sencilla y visual de entender que la definición no es solo teoría: realmente se cumple en cada punto de la curva. Mueve el punto y experimenta por ti mismo.

¿Para qué sirven las parábolas en la vida real?

La parábola aparece más seguido de lo que piensas. La ves en la forma de un reflector que concentra la luz en un punto, en las antenas parabólicas que reciben señales, en puentes colgantes, en chorros de agua, en la trayectoria de un balón e incluso en el diseño de lámparas o micrófonos.
Lo bonito es que entender la parábola no solo te sirve para resolver ejercicios: te ayuda a explicar por qué algunos objetos y movimientos del mundo funcionan de manera tan precisa.

¿Cómo puedes saber si una ecuación representa una parábola o no?

La pista más fácil es fijarte en los términos cuadrados.

  • Si aparece solo un término cuadrado, por ejemplo:$$x^{2}\;\;o\;\;y^{2}$$ entonces es una parábola.
  • Si aparecen dos términos cuadrados, ya puede ser una circunferencia, una elipse o una hipérbola, dependiendo de cómo estén.

Elementos de la parábola

En la definición conociste dos elementos muy relevantes como la directriz y el foco, aquí nuevamente los mencionaré agregándole otras más.

Elementos de la parábola1. Foco

Es un punto fijo donde equidistan todos los puntos de la parábola.

2. Directriz

Es una recta fija respecto a la cual se mide la distancia de los puntos de la parábola.

3. Eje de simetría o eje focal

Es la recta que pasa por el foco y el vértice, partiendo en dos partes iguales a la parábola.

4. Vértice

Es un punto de intersección entre la parábola y el eje de simetría.

5. Lado recto

Es un segmento que pasa por el foco y cuyos dos extremos están sobre la curva cónica. Siempre es perpendicular al eje de simetría, formándose como una especia de puente que cruza la parábola.

Se calcula aplicando la siguiente expresión:$$Lr=|4\cdot p|$$

6. Parámetro

El parámetro de la curva cónica (2p) es la distancia del foco (F) a la directriz.

El semiparámetro es la distancia del foco al vértice denominado p y la distancia del vértice a la directriz también es p, es decir, que son las mismas distancias. Al sumarlas genera el parámetro de la parábola (2p)

Características relevantes del parámetro cuando la parábola posee eje de simetría vertical:

  • p > 0 La parábola es cóncava hacia arriba.
  • p < 0 La parábola es cóncava hacia abajo.

Características relevantes del parámetro cuando la parábola posee eje de simetría horizontal:

  • p > 0 La parábola abre a la derecha.
  • p < 0 La parábola abre a izquierda.

Ecuación canónica con vértice en (0,0) y eje vertical

Ecuación canónina origen eje yLa figura muestra una parábola con vértice en el origen del plano cartesiano y con eje de simetría en el eje «y». para obtener la ecuación canónica debes aplicar la definición:

1. Distancia entre los puntos P(x,y) y F(p,0)

$$\overline{PF}=\sqrt{(x_{2}-x_{1})^{2}+(y_{2}-y_{1})^{2}}$$

Reemplazar los valores:

$$\overline{PF}=\sqrt{(x-0)^{2}+(y-p)^{2}}$$

2. Distancia entre el P(x,y) a la directriz: y=-p

$$\overline{PR}=\frac{\left | Ax+By+C\right |}{\sqrt{A^{2}+B^{2}}}$$

Sustituir el punto y la recta: y + p = 0

$$\overline{PR}=y+p$$

3. Aplicar la definición:$$\overline{PF}=\overline{PR}$$

$$\sqrt{(x-0)^{2}+(y-p)^{2}}=y+p$$

Elevar al cuadrado ambos miembros de la ecuación para eliminar la raíz cuadrada:
$$\left (\sqrt{x^{2}+y^{2}-2py+p^{2}} \right )^{2}=(y+p)^{2}$$
$$x^{2}+y^{2}-2py+p^{2}=y^{2}+2py+p^{2}$$
$$x^{2}+\not y^{2}-\not y^{2}-2py-2py+\not p^{2}-\not p^{2}=0$$

Ecuación de la parábola:

$$x^{2}-4py=0$$

Ecuación canónica:

$$x^{2}=4py$$

$$x^{2}=4py$$

Foco y directriz

FocoDirectriz
$$F(0,p)$$$$y+p=0$$

Ecuación canónica con vértice en (0,0) y eje horizontal

La figura muestra una parábola con vértice en (0,0) y con eje de simetría en el eje x, para obtener la ecuación canónica también debes aplicar también su definición:

1. Distancia entre el punto P(x,y) y F(p,0).

$$\sqrt{(x-p)^{2}+(y-0)^{2}}$$

2. Ecuación de la directriz. 

$$x+p=0$$

3. Distancia entre el punto P(x,y) a la directriz.

$$\overline{PR}=\frac{\left | Ax+By+C\right |}{\sqrt{A^{2}+B^{2}}}$$

Sustituir valores:

$$\frac{\left | x+p\right |}{\sqrt{1+0}}=x+p$$

4. Aplicar la definición de la parábola

$$\overline{PF}=\overline{PR}$$

Sustituyendo queda así:

$$\sqrt{(x-p)^{2}+(y-0)^{2}}=x+p$$
$$\left ( \sqrt{x^{2}-2px+p^{2}+y^{2}} \right )^{2}=(x+p)^{2}$$
$$x^{2}-2px+p^{2}+y^{2}=x^{2}+2px+p^{2}$$
$$\not x^{2}-2px+\not p^{2}+y^{2}-\not x^{2}-2px-\not p^{2}=0$$

Ecuación de la parábola:

$$y^{2}-4px=0$$

Ecuación canónica:

$$y^{2}=4px$$

$$y^{2}=4px$$

Foco y directriz

FocoDirectriz
$$F(p,0)$$$$x+p=0$$

Ecuación canónica con vértice en (h,k) y eje de simetría paralelo al eje y

Para encontrar la ecuación canónica de una parábola con vértice (h,k) es conveniente efectuar una traslación de ejes, observa la imagen:

Esto es como trasladar la curva desde el origen del plano cartesiano a la posición (h, k). Quedando el sistema de coordenadas como x´- y´  y la ecuación de la misma así:$$x^{\prime 2} = 4p\,y^{\prime}$$

Luego:
$$x=x^{\prime }+h$$
$$y=y^{\prime}+k$$

Se tiene que:
$$x^{\prime}=x-h$$
$$y^{\prime}=y-k$$

Ecuación canónica:
$$(x-h)^{2}=4p(y-k)$$

$$(x-h)^{2}=4p(y-k)$$

Elementos

Vértice$$(h,k)$$
Ecuación de la directriz$$y=k-p$$
Foco$$F(h,k+p)$$
Ecuación del eje de simetría$$x=h$$

Explora la Parábola: mueve el vértice, cambia el foco y domina su ecuación

¿Quieres entender realmente qué es una parábola sin memorizar largas definiciones?
En este simulador interactivo podrás mover el vértice (h,k), modificar el parámetro  p ver cómo cambia el foco, la directriz y hasta la ecuación de la parábola… ¡todo en tiempo real!
Es una forma visual, dinámica y súper intuitiva de comprender cómo cada elemento afecta la forma y posición de la parábola. Solo arrastra, observa y deja que la gráfica te hable.


Ecuación canónica con vértice en (h,k) y eje de simetría paralelo al eje x

Para encontrar la ecuación canónica se trabaja de la misma manera como cuando su eje de simetría es paralelo al eje y.

Sistema de coordenadas: x´- y´

Ecuación:$$y^{\prime 2} = 4p\,x^{\prime}$$

Luego:
$$x=x^{\prime }+h$$
$$y=y^{\prime}+k$$

Se tiene:
$$x^{\prime}=x-h$$
$$y^{\prime}=y-k$$

Ecuación canónica:
$$(y-k)^{2}=4p(x-h)$$

$$(y-k)^{2}=4p(x-h)$$

Elementos

Vértice$$V(h,k)$$
Ecuación de la directriz$$x=h-p$$
Foco$$F(h+p,k)$$
Eje de simetría$$y=k$$

Ecuación general de la parábola

La ecuación general de la parábola es:

$$Ax^{2}+Bxy+Cy^{2}+Dx+Ey+F=0$$

Esta ecuación incluye todas las parábolas como las cóncavas hacia arriba, cócavas hacia abajo, abiertas a la derecha, abiertas a la izquierda e incluso las que poseen ejes de simetría oblicuas o inclinadas. Observa la siguiente imagen de parábolas con ejes inclinados:

Parábolas con eje inclinados

 

Características resaltantes

1. Cuando el término xy (B=0) no existe es porque la curva cónica posee eje de simetría vertical o horizontal la orientación depende de los coeficientes A y C. Observa la tabla:

Coeficientes$$A\neq 0\;\; y\;\; C=0$$$$C\neq 0\;\; y\;\; A=0$$
Término cuadrático$$Ax^{2}$$$$Cy^{2}$$
Eje de simetría
VerticalHorizontal
AberturaHacia ariiba o abajo.Hacia los lados.

2. Cuando existe el término xy (B≠0) la curva cónica posee un eje de simetría oblicua.

3. Cuando los coeficientes D, E o F posee valores diferentes de cero, la parábola deja de estar centrada en el origen y su vértice se desplaza a otro punto del plano cartesiano.

4. Para distinguir si la ecuación general corresponde a una parábola, debe cumplirse la siguiente condición:

$$B^{2}=4AC$$


Ecuación de la tangente a la parábola

La ecuación de la tangente a una parábola permite obtener la recta que toca la curva cónica en un solo punto sin cortarla, es muy importante determinarla ya que sirve para analizar pendientes, identificar máximos o mínimos y resolver problemas de geometría y física relacionados con la parábola. 

CasoEcuación de la parábolaEcuación de la tangente
Vértice en el origen, eje (y) (abre hacia arriba/abajo)$$x^{2}=4py$$$$x\cdot x_1=2p(y + y_1)$$
Vértice en el origen, (x) (abre a la derecha/izquierda)$$y^{2}=4px$$$$y\cdot y_1=2p(x + x_1)$$
Vértice en (h,k), eje paralelo a (y) (trasladada)$$(x-h)^{2}=4p(y-k)$$$$(x-h)(x_1-h)=2p\big[(y-k)+(y_1-k)\big]$$
Vértice en (h,k), eje paralelo a (x) (trasladada)$$(y-k)^{2}=4p(x-h)$$$$(y-k)(y_1-k)=2p\big[(x-h)+(x_1-h)\big]$$

Ecuación de la tangente de pendiente m a la curva cónica

A continuación, te muestro la tabla donde se encuentran las ecuaciones de la tangente con pendiente m. 

Donde m≠0

TipoTangente de pendiente m
Horizontal$$y=mx+\left ( k-mh-\frac{p}{m} \right )$$
Vertical$$y=mx+(k-mh-pm^{2})$$

Transformación de la función cuadrática a su forma canónica con vértice (h,k) eje vertical

Cuando la función cuadrática se expresa de la siguiente forma:$$y=ax^{2}+bx+c$$

Su eje de simetría es paralelo al eje «y».

Para transformar la función cuadrática a su forma canónica con vértice (h,k) debes utilizar el método de completar cuadrados.

A continuación, su procedimiento:

$$y=ax^{2}+bx+c$$

1. Factorizar para que el primer término cuadrático sea uno.

$$y=a(x^{2}+\frac{b}{a}x)+c$$

2. Escoger el coeficiente del término lineal dividirlo entre dos y elevarlo al cuadrado.

$$\left ( \frac{\frac{b}{a}}{2} \right )^{2}=\frac{b^{2}}{4a^{2}}$$

3. El resultado anterior debe sumarse y restarse dentro de la expresión.

$$y=a\left ( x^{2}+\frac{b}{a}x+\frac{b^{2}}{4a^{2}}-\frac{b^{2}}{4a^{2}} \right )+c$$

4. Expresión obtenida.

$$y=a\left ( x^{2}+\frac{b}{a}x+\frac{b^{2}}{4a^{2}}\right )-\frac{\not ab^{2}}{4a^{\not 2}}+c$$
$$y=a\left ( x+\frac{b}{2a} \right )^{2}+\left ( c-\frac{b^{2}}{4a} \right )$$

5. Despejar para obtener la ecuación canónica

$$a\left ( x+\frac{b}{2a} \right )^{2}=y-\left ( c-\frac{b^{2}}{4a} \right )$$
$$a\left ( x+\frac{b}{2a} \right )^{2}=y-\left ( \frac{4ac-b^{2}}{4a} \right )$$
$$a\left ( x+\frac{b}{2a} \right )^{2}=y+\left ( \frac{b^{2}-4ac}{4a} \right )$$
$$\left ( x+\frac{b}{2a} \right )^{2}=\frac{1}{a}\left ( y+\frac{b^{2}-4ac}{4a} \right )$$

6. Comparar la ecuación canónica obtenida y la ecuación canónica de vértice (h,k).

Se comparan para poder obtener el parámetro y el vértice.

Ecuación canónica obtenidaEcuación canónica de vértice (h,k)
$$\left ( x+\frac{b}{2a} \right )^{2}=\frac{1}{a}\left ( y+\frac{b^{2}-4ac}{4a} \right )$$$$(x-h)^{2}=4p(y-k)$$

7. Coordenas del vértice y parámetro.

Ecuación canónica obtenidaEcuación canónica de vértice (h,k)
$$-h=\frac{b}{2a}\Rightarrow h=-\frac{b}{2a}$$$$4p=\frac{1}{4a}\Rightarrow p=\frac{1}{4a}$$
$$-k=\frac{b-4ac}{4a}\Rightarrow k=\frac{4ac-b}{4a}$$

8. Vértice.

$$V\left (-\frac{b}{2a},\frac{4ac-b}{4a} \right )$$

9. Cóncavidad

$$a> 0$$Cóncava hacia arriba y su vértice es un punto mínimo.
$$a< 0$$Cóncava hacia abajo y su vértice es un punto máximo.

Resumen general

A continuación, te presento dos tablas con un resumen práctico que te será útil para que puedas comprender con facilidad los cálculos en los ejercicios explicados paso a paso.

Tabla resumen con vértice en (0,0)

Eje de simetría  horizontalEje de simetría vertical
Ecuación general canónica$$y^{2}=4px$$$$x^{2}=4py$$
Foco$$F(p,0)$$$$F(0,p)$$
Directriz$$x+p=0$$$$y+p=0$$
Longitud del lado recto$$Lr=|4\cdot p|$$$$Lr=|4\cdot p|$$
Ecuación del eje de simetría$$y=0$$$$x=0$$

Tabla resumen con vértice en (h,k)

Eje de simetría horizontalEje de simetría vertical
Ecuación general canónica$$ (y-k)^{2} = 4p(x-h) $$<$$ (x-h)^{2} = 4p(y-k) $$
Foco$$ F(h+p,k) $$$$ F(h,k+p) $$
Directriz$$ x = h – p $$$$ y = k – p $$
Longitud del lado recto$$ Lr = \lvert 4p \rvert $$$$ Lr = \lvert 4p \rvert $$
Ecuación del eje de simetría$$ y = k $$$$ x = h $$

 


 

Ejercicios explicados paso a paso

A continuación, 10 ejercicios explicados con un lenguaje sencillo y realizado paso a paso.

Ejercicio # 1

Encuentra los elementos y grafica cuya ecuación es:

$$y^{2}-4x=0$$

Solución

1. Transformar la ecuación a canónica.

$$y^{2}=4x$$

Es una curva cónica con eje de simetría en el eje «x»

2. Cálculo del parámetro (p).

Igualar la ecuación canónica y la canónica dada

$$y^{2}=4px$$$$y^{2}=4x$$

 

$$4px=4x$$

Despejar
$$p=\frac{4x}{4x}$$
$$p=1$$

Como:

$$p>0$$

Es cóncava hacia la derecha o abre hacia la derecha.

3. Coordenadas del foco (F).

$$F(p,0)$$

Reemplazando el valor de p.

$$F(1,0)$$

4. Ecuación de la directriz.

$$x=-p$$

Reemplazar p

$$x=-1$$

5. Lado recto.

$$Lr=|4\cdot p|$$

Reemplazar el valor de p

$$Lr=|4\cdot 1|$$
$$Lr=4$$

6. Eje de simetría.

$$y=0$$

7. Gráfica

Representación gráfica ejercicio # 1


Ejercicio # 2

Encuentra los elementos y grafica cuya ecuación es: $$4x^{2}-8y=0$$

Solución

1. Transformar la ecuación a canónica.

Despejar ecuación dada lo cual resulta:

$$x^{2}=2y$$

Es una curva cónica con eje de simetría en el eje «y»

2. Cálculo del parámetro (p).

Igualar la ecuación canónica y la canónica dada

$$x^{2}=4py$$$$x^{2}=2y$$

 

$$4py=2y$$

Despejar
$$p=\frac{2x}{4x}$$
$$p=\frac{1}{2}$$

Como:

$$p>0$$

Es cóncava hacia arriba o abre hacia arriba.

3. Coordenadas del foco (F).

$$F(0,p)$$

Reemplazando el valor de p.

$$F\left ( 0,\frac{1}{2} \right )$$

4. Ecuación de la directriz.

$$y=-p$$

Reemplazar p

$$x=-\frac{1}{2}$$

5. Lado recto.

$$Lr=|4p|$$

Reemplazar el valor de p

$$Lr=\left | 4\cdot \frac{1}{2}\right |$$
$$Lr=2$$

6. Eje de simetría.

$$x=0$$

7. Gráfica

Representación gráfica ejercicio # 2


Ejercicio # 3

Graficar y determinar la ecuación de la parábola.

1. Vértice en el origen.
2. Foco (-5,0)

Solución:

1. Graficar el vértice, foco y trazado del eje de simetría

Ejercicio 3.1 Pao # 1

Nota: 

  • El eje de simetría coincide con el eje «y».
  • Ecuación del eje de simetría:$$x=0$$
  • Como el eje de simetría coincide con el eje «y» se utiliza la ecuación:$$x^{2}=4py$$

 

2. Definición de parámetro

$$p=-5$$

Por ser negativo (p<0) la parábola es cóncava hacia abajo.

3. Hallar la longitud del lado recto

$$Lr=|4\cdot p|$$

$$Lr=|4\cdot (-5)|$$

$$Lr=20$$

4. Ecuaciones

Parábola

$$x^{2}=4py$$

$$x^{2}=4\cdot (-5)y$$

$$x^{2}+20y=0$$

Canónica

$$x^{2}=-20y$$

Directriz

$$y=-p$$

$$y=-(-5)$$

$$y=5$$

5. Gráfica

Gráfica final ejercicio 3


Ejercicio # 4

Graficar y determinar la ecuación de la parábola.

1. Vértice en el origen.
2. Directriz en la recta $$2y-5=0$$

Solución

1. Graficar el vértice, directriz y eje de simetría

Ejercicio 4 (1)Nota: 

  • El eje de simetría coincide con el eje «y».
  • Ecuación del eje de simetría:$$x=0$$
  • Para determinar ecuación se utiliza:$$x^{2}=4py$$
  • Ecuación de la directriz:$$y=\frac{5}{2}$$

2. Definición del parámetro

$$p=-\frac{5}{2}$$

Es cóncava hacia abajo por$$p<0$$

3. Coordenadas del foco

$$F\left ( 0,-\frac{5}{2} \right )$$

4. Lado recto

$$Lr=\left | 4\cdot \left ( -\frac{5}{2} \right )\right |$$
$$Lr=10$$

5. Ecuación de la parábola y canónica

$$x^{2}=4py$$

Parábola

$$x^{2}=4\cdot \left ( -\frac{5}{2} \right )y$$
$$x^{2}+10y=0$$

Canónica

$$x^{2}=-10y$$

6. Gráfica

Gráfica del ejercicio 4


Ejercicio # 5

Graficar y determinar la ecuación de la parábola.

Directriz:$$3x+4=0$$

Solución

1. Cálculo del parámetro.

Como la ecuación de la directriz es:$$x+p=0$$

Se deduce que:

$$3x+4=0$$
$$3x=-4$$
$$x=-\frac{4}{3}$$
$$x+\frac{4}{3}=0$$

Por lo tanto el parámetro es:$$p=\frac{4}{3}$$

Cóncava hacia la derecha.

Con eje de simetría «x», entonces la forma de la ecuación es:$$y^{2}=4px$$

2. Cálculo de la ecuación.

$$y^{2}=4\cdot \frac{4}{3}x$$
$$y^{2}=\frac{16x}{3}$$

3. Foco.

$$F(p,0)$$
$$F\left ( \frac{4}{3},0 \right )$$

4. Lado recto.

$$Lr=\left | 4\cdot \left ( \frac{4}{3} \right )\right |$$
$$Lr=\frac{16}{3}$$

5. Gráfico

Gráfica Ejercicio 5


Ejercicio6

Dada la expresión:$$y^{2}=12x$$

Hallar: La ecuación de la tangente que pasa por el punto (3,-6)

 Solución

  • Según la ecuación dada el eje de simetría es horizontal.
  • Antes de hallar la ecuación se comprueba que el punto está en la curva cónica.

1. Comprobación. Sustituir el punto en la ecuación dada

$$y^{2}=12x$$

$$(-6)^{2}=12\cdot 3$$
$$36=36$$

El punto se encuentra en la curva cónica.

2. Calculo del parámetro.

Se toma la ecuación dada y se iguala con la ecuación general canónica de una parábola.

$$y^{2}=12x$$
$$y^{2}=4px$$

$$12x=4px$$
$$p=3$$

3. Cáculo de la ecuación de la tangente:$$y\cdot y_1=2p(x + x_1)$$

Sustituir el punto (3,-6)

$$y\cdot (-6)=2\cdot 3(x + 3)$$
$$-6y=6(x + 3)$$
$$-6y=6x + 18$$
$$-6y-6x-18=0$$


Ejercicio # 7

Dada la expresión:$$x^{2}=8y$$

Hallar: La ecuación de la tangente de pendiente m=-2 y graficar.

Solución

  • Según la ecuación dada el eje de simetría es vertical y con vértice en el origen.

1. Calculo del parámetro.

Se escoge la ecuación dada y se iguala con la ecuación general canónica de una parábola.

$$x^{2}=8y$$
$$y^{2}=4px$$

$$8y=4px$$
$$p=2$$

2. Calcular la ecuación tangente:$$y=mx+(k-mh-pm^{2})$$

Como el vértice está ubicado en el origen, la expresión se reduce a:$$y=mx+(-pm^{2})$$

Al sustituir los valores del parámetro y la pendiente dada, queda de esta forma:

$$y=-2x+(-2\cdot (-2)^{2})$$
$$y=-2x+(-8)$$
$$y=-2x-8$$

3. Gráfica

Gráfica del ejercicio 7


Ejercicio # 8

Dada la expresión:$$y^{2}+6x+6y=0$$

Hallar:

  • Vértice.
  • El eje.
  • Foco.
  • Lado recto.
  • Ecuación de la directriz.
  • Grafica.

Solución

La expresión dada es la ecuación general de la parábola de la forma:$$Ax^{2}+Bxy+Cy^{2}+Dx+Ey+F=0$$

Donde:$$A=0;\; C\neq 0;\; D\neq 0$$

Haz clic aquí características resaltantes para que veas datos clave como eje de simetría, coeficientes, entre otros que te ayudará a comprender y ver la situación mucho más fácil.

Las características resaltantes recopiladas es la siguiente:

  • Eje de simetría es horizontal es decir, paralelo al eje «x».
  • Los coeficientes D y E distintos a ceros, demuestran que el vértice esta ubicado fuera del origen del plano cartesiano.

1. Transformar la ecuación dada a la forma canónica completando cuadrados.

$$y^{2}+6x+6y=0$$
$$y^{2}+6y=-6x$$
$$y^{2}+6y+9=-6x+9$$
$$y^{2}+6y+9=-6x+9$$
$$(y+3)^{2}=-6\left ( x-\frac{3}{2} \right )$$

2. Comparar con la general.

$$(y-k)^{2}=4p(x-h)$$

$$-k=3\Rightarrow k=-3$$
$$-h=-\frac{3}{2}\Rightarrow h=\frac{3}{2}$$
$$4p=-6\ \Rightarrow p=-\frac{3}{2}$$

$$k=-3;\;h=\frac{3}{2};\;p=-\frac{3}{2}$$

3. Elementos.

Vértice.$$V(h,k)=V\left ( \frac{3}{2},-3 \right )$$

Eje de simetría. Como pasa por el vértice:$$y=-3$$

Foco. El foco siempre se encuentra en el mismo eje que el vértice, para hallar sus coordenadas se suma la coordenada «x» del vertice y p.

$$F\left ( \frac{3}{2}-\frac{3}{2},-3 \right )$$
$$F(0,-3)$$

Lado recto.
$$Lr=\left | 4p\right |$$
$$Lr=\left | 4\cdot \left ( -\frac{3}{2} \right )\right |$$
$$Lr=6$$

Directriz. Como el eje de simetría es horizontal su ecuación a utilizar es: $$x=h-p$$

$$x=\frac{3}{2}-\left ( -\frac{3}{2} \right )$$
$$x=3$$

4. Gráfica.

Grafica ejercicio 8


Ejercicio #

Dada la expresión:$$y=x^{2}+4x-6$$

Determinar:

  • Vértice.
  • Ecuación del eje de simetría.
  • Foco.
  • Lado recto.
  • Directriz.
  • Gráfico

Solución

La expresión dada es una función cuadrática de la forma:$$y=ax^{2}+bx+c$$

Donde:

$$a=1;\;b=4;\;c=-6$$

$$h=-\frac{b}{2a};\;k=\frac{4ac-b}{4a}$$

1. Cálculo del vértice. 

$$V(h,k)$$
$$V\left ( -\frac{b}{2a},\frac{4ac-b^{2}}{4a} \right )$$
$$V\left ( -\frac{4}{2\cdot 1},\frac{4\cdot 1\cdot (-6)-(4)^{2}}{4\cdot 1} \right )$$
$$V\left ( -2,\frac{-40}{4} \right )$$
$$V\left ( -2,-10 \right )$$

2. Eje de simetría.

El eje es una recta paralela al eje «y» según la función dada.

$$x=-2$$

3. Cálculo del parámetro.

$$p=\frac{1}{4a}$$

$$p=\frac{1}{4\cdot 1}$$
$$p=\frac{1}{4}$$

4. Foco.

$$ F(h,\ k+p) $$
$$ F(-2,-10+p) $$
$$F\left ( -2, -10+\frac{1}{4} \right )$$
$$F\left ( -2,-\frac{39}{4} \right )$$

5. Lado recto.

$$ Lr = \lvert 4p \rvert $$
$$ Lr =\left | 4\cdot \frac{1}{4}\right |$$
$$Lr=1$$

6. Ecuación de la directriz.

$$ y = k – p $$
$$ y = -10 – \frac{1}{4} $$
$$y=-\frac{41}{4}$$

7. Gráfico.

Gráfico ejercicio 9


Ejercicio # 10 

Dada la ecuación:$$(x + 4)^{2} = -5 (y – 6)$$

Determinar:

  • Vértice.
  • Ecuación del eje de simetría.
  • Foco.
  • Lado recto.
  • Ecuación de la directriz.
  • Interceptos eje «x» e «y».
  • Gráfico.

Solución:

1. Comparar la ecuación dada con las de vértice (h,k).

Haz clic aquí para que veas la tabla resumen del vértice con (h, k) y seguir el proceso de forma más clara.

Al realizar la comparación se observa que su eje de simetría es paralelo al eje «y».

Ecuación dadaEcuación con vértice (h,k)
$$(x + 4)^{2} = -5 (y – 6)$$$$ (x-h)^{2} = 4p(y-k) $$

2. Coordenadas (h,k).

$$-h=4\Rightarrow h=-4$$
$$-k=-6\Rightarrow k=6$$

3. Vértice.

$$V(-4,6)$$

4. Ecuación del eje de simetría.

$$x=-4$$

5. Parámetro.

Gracias a la comparación se puede igualar y hallar el valor de p:$$4p=-5\Rightarrow p=-\frac{5}{4}$$

Como:$$p<0$$

Es cóncava hacia abajo.

6. Foco.

$$ F(h,k+p) $$
$$ F\left ( -4,6+\left ( -\frac{5}{4} \right ) \right ) $$
$$ F\left ( -4,\frac{19}{4} \right ) $$

7. Lado recto.

$$ Lr = \lvert 4p \rvert $$
$$Lr=\left | 4\cdot \left ( -\frac{5}{4} \right )\right |$$
$$Lr=5$$

8. Ecuación de la directriz.

$$ y = k – p $$
$$y=6-\left ( -\frac{5}{4} \right )$$
$$y=\frac{29}{4}$$

9. Cálculo de los interceptos

Dale clic aquí interceptos y allí verás su procedimiento.

Intercepto en «y»

$$(0 + 4)^{2} = -5 (y – 6)$$
$$16=-5y+30$$
$$y=\frac{14}{5}$$

Intercepto en «x»

$$(x + 4)^{2} = -5 (0 – 6)$$
$$(x + 4)^{2} = 30$$
$$x+4=\pm \sqrt{30}$$
$$\boxed{x=-4\pm \sqrt{30}}$$
$$x\approx 1,5$$
$$x\approx -9,5$$

9. Gráfico.

Grafico ejercicio 10


¿Quieres practicar más con un tutor?

Podemos preparar una sesión personalizada con ejercicios guiados, resolución paso a paso y seguimiento del progreso.

Solicita una tutoría


Actividades

Modelación.

1. Determina la ecuación del lugar geométrico de todos los puntos del plano que equidistan del punto 𝑭(𝟎,𝟑) y de la recta 𝒚 + 𝟑 = 𝟎. Graficar.

2. Encuentra los elementos y grafica la parábola cuya ecuación es:$$y^{2}-8x=0$$

3. Hallar los elementos y construir la grafica cuya ecuación es:$$3x^{2}- 12y = 0$$

4. Hallar la ecuación de la parábola con vértice en el origen y directriz en la recta 𝒙 − 7 = 0. Graficar

5. Una parábola de vértice en el origen pasa por el punto (2,3) y su eje coincide con el eje «Y». Determine la ecuación y grafique.

6. Determinar los elementos de cada parábola y represéntalos gráficamente.

$$\left ( y-\frac{7}{3}\right )^{2}=-3x$$$$\left ( x-4 \right )^{2}=9(y-3)$$

7. Determinar los elementos de cada parábola y grafícalas a partir de sus ecuaciones:

$$\left ( x-h \right )^{2}=4p(y-k)$$$$\left ( y-k \right )^{2}=4p(x-h)$$

 

Razonamiento: Identifica los elementos correctos de la parábola

En cada caso, marca los elementos que NO correspondan a la parábola dada.

Caso 1

Ecuación:

(y - 2)² = 8(x + 1)
Solución correcta

El único elemento incorrecto es el eje de simetría (debería ser y = 2).

Caso 2

Ecuación:

(x + 3)² = 12(y - 1)
Solución correcta

El único elemento incorrecto es el eje de simetría (debería ser x = -3).

Caso 3

Ecuación:

(y + 1)² = -16(x - 2)
Solución correcta

El único elemento incorrecto es el eje de simetría (debería ser y = -1).

© LaProfeMatematik · Aprender con amor de Dios y mucha pasión

La circunferencia: Conceptos, ecuaciones y aplicaciones

La circunferencia: Conceptos, ecuaciones y aplicaciones

La circunferencia¿Te has preguntado alguna vez cómo la circunferencia está presente en el diseño de pistas circulares que crean los ingenieros o en los logos perfectamente redondeados que elaboran los diseñadores gráficos?
Detrás de todas esas formas se encuentra la circunferencia, una figura fundamental en la geometría analítica que conecta el arte visual con el razonamiento matemático.
En este post aprenderás qué es la circunferencia, cómo se obtiene su ecuación y cómo aplicarla en contextos reales, de manera clara, práctica y paso a paso. 🧮


¿Qué es una circunferencia?

En geometría analítica, la circunferencia es definida como el conjunto de todos los puntos de un plano situado a una misma distancia de un punto fijo, llamado centro. Esa distancia constante recibe el nombre de radio, y determina el tamaño de la circunferencia.

En otras palabras, si todos los puntos están exactamente a la misma distancia del centro, forman una figura perfectamente redonda: la circunferencia.

La circunferencia

Donde:

C (h, k): Centro.

h y k : Coordenadas del centro.

P (x, y): Es el punto por donde pasa la circunferencia.

r : Radio.

Su ecuación más utilizada es llamada ecuación ordinaria:

$$\left (x-h  \right )^{2}+\left ( y-k \right )^{2}=r^{2}$$

Cuando el centro de la circunferencia está ubicado en el origen del plano cartesiano, su ecuación es: $$x^{2}+y^{2}=r^{2}$$


Ecuación ordinaria y ecuación general de la circunferencia

Al expandir la ecuación ordinaria, se obtiene la ecuación general de la circunferencia:

$$x^{2}+y^{2}+Dx+Ey+F=0$$

EcuaciónFormaUso
$$\left (x-h  \right )^{2}+\left ( y-k \right )^{2}=r^{2}$$

 

OrdinariaSe usa cuando se conoce el centro y el radio.
$$x^{2}+y^{2}+Dx+Ey+F=0$$

 

GeneralEs aplicado en cálculos y análisis algebraico.

Cómo hallar el centro y el radio de una circunferencia en la ecuación general

A partir de la ecuación general$$x^{2}+y^{2}+Dx+Ey+F=0$$ Puedes obtener el centro y el radio, donde:

$$D=-2h$$

$$E=-2k$$

$$F=h^{2}+k^{2}-r^{2}$$

Observación

Si $$D^{2}+E^{2}-4F> 0$$ La ecuación$$x^{2}+y^{2}+Dx+Ey+F=0$$ representa una circunferencia con centro (C) de coordenadas distintas a cero, es decir C (h, k).

Entonces, para calcular el centro (C) y el radio (r) debes aplicar:

CentroRadio
                                $$C\left ( h,k \right )$$$$r=\sqrt{h^{2}+k^{2}-F}$$
$$C\left ( -\frac{D}{2}, -\frac{E}{2} \right )$$$$r=\frac{\sqrt{D^{2}+E^{2}-4F}}{2}$$

Aplicaciones de la circunferencia en la vida cotidiana

Las circunferencias no son solo figuras en la pizarra o en el cuaderno. En la vida cotidiana, aparecen en contextos que quizás no habías notado:

  • Ingeniería civil: diseño de rotondas, túneles y estructuras circulares.
  • Deportes: trazados en el campo de fútbol, análisis de trayectorias de pelotas o ruedas en movimiento.
  • Astronomía: modelos de órbitas planetarias casi circulares.
  • Diseño gráfico: construcción de logotipos y figuras simétricas.

Comprender esta figura plana te permite apreciar cómo las matemáticas está involucrada en muchas situaciones.


Ejercicios de la circunferencia resueltos paso a paso


Ejemplo # 1. ¿Cuál es la ecuación de la circunferencia con centro en el origen y radio de 4 unidades?

Solución:

Fórmula ordinaria: $$x^{2}+y^{2}=r^{2}$$

Al reemplazar:

$$x^{2}+y^{2}=4^{2}$$

$$x^{2}+y^{2}=16$$

$$x^{2}+y^{2}-16=0$$


Ejemplo # 2

Determine la ecuación de la circunferencia de centro en el origen y radio $$\frac{\sqrt{3}}{2}$$

Solución:

Fórmula ordinaria: $$x^{2}+y^{2}=r^{2}$$

Al sustituir:

$$x^{2}+y^{2}=\left ( \frac{\sqrt{3}}{2} \right )^{2}$$

$$x^{2}+y^{2}=\frac{3}{4}$$

Se transforma la expresión en forma lineal

$$4x^{2}+4y^{2}=3$$

Ecuación:

$$4x^{2}+4y^{2}-3=0$$


Ejemplo # 3

Determina la ecuación de la circunferencia de centro (1, −3) y radio de 2 unidades.

Solución:

Fórmula ordinaria:

$$\left (x-h  \right )^{2}+\left ( y-k \right )^{2}=r^{2}$$

Sustitución:

$$\left (x-1  \right )^{2}+\left ( y+3 \right )^{2}=2^{2}$$

Desarrollo:

$$x^{2}-2x+1+y^{2}+6y+9=4$$

$$x^{2}+y^{2}-2x+6y+6=0$$

Ecuación de la circunferencia

$$x^{2}+y^{2}-2x+6y+6=0$$


Ejemplo # 4

Calcular la ecuación de la circunferencia de centro en el plano (-1/2, -5/6)  y radio 5/6 unidades.

Solución:

Fórmula ordinaria:

$$\left (x-h  \right )^{2}+\left ( y-k \right )^{2}=r^{2}$$

Al sustituir los valores queda así:

$$\left (x+\frac{1}{2}  \right )^{2}+\left ( y+\frac{5}{6} \right )^{2}=\left ( \frac{5}{6} \right )^{2}$$

Se aplica productos notables, potenciación y se iguala a cero:

$$x^{2}+x+\frac{1}{4}+y^{2}+\frac{5y}{3}+\frac{25}{36}=\frac{25}{36}$$

$$x^{2}+y^{2}+x+\frac{5y}{3}+\frac{1}{4}=0$$

Se saca mínimo común múltiplo (m.c.m.) a los denominadores:

m.c.m.=12

$$\frac{12x^{2}+12y^{2}+12x+20y+3}{12}=0$$

Despeje:

$$12x^{2}+12y^{2}+12x+20y+3=0$$

Ecuación:

$$12x^{2}+12y^{2}+12x+20y+3=0$$


Ejemplo # 5

¿Cuál es la ecuación de la circunferencia de centro en el origen y que pasa por el punto (2, −3)?

Solución:

Calculo del radio aplicando la fórmula de la distancia entre dos puntos:

$$d=r=\sqrt{(x_{2}-x_{1})^{2}+(y_{2}-y_{1})^{2}}$$

Sustitución de las coordenadas del punto y centro:

$$d=r=\sqrt{(2-0)^{2}+(-3-0)^{2}}=\sqrt{13}$$

Cálculo de la ecuación:

$$x^{2}+y^{2}=r^{2}$$

$$x^{2}+y^{2}=\left ( \sqrt{13} \right )^{2}$$

$$x^{2}+y^{2}=13$$

$$x^{2}+y^{2}-13=0$$

Ecuación de la circunferencia:

$$x^{2}+y^{2}-13=0$$


Ejemplo # 6

Hallar la ecuación de la circunferencia de diámetro el segmento formado por los puntos A(−4,7) 𝑦 𝐵(6,−1).

Solución:

Punto medio del diámetro es igual al punto centro de la circunferencia:

$$C=\left ( \frac{x_{1}+x_{2}}{2},\frac{y_{1}+y_{2}}{2} \right )$$

Reemplazar las coordenadas de ambos puntos:

$$C=\left ( \frac{-4+6}{2},\frac{7-1}{2} \right )$$

Centro de la circunferencia:

$$C\left ( 1,3 \right )$$

Cálculo del radio:

B(6,-1); C(1,3)

$$r=\sqrt{(x_{2}-x_{1})^{2}+(y_{2}-y_{1})^{2}}$$

$$r=\sqrt{\left ( 6-1 \right )^{2}+\left ( -1-3 \right )^{2}}=\sqrt{25+16}=\sqrt{41}$$

 

Ecuación ordinaria:

$$\left (x-h  \right )^{2}+\left ( y-k \right )^{2}=r^{2}$$

Sustitución:

$$\left (x-1  \right )^{2}+\left ( y-3 \right )^{2}=(\sqrt{41})^{2}$$

$$(x-1)^{2}+(y-3)^{2}=41$$

$$x^{2}+y^{2}-2x-6y-31=0$$

Gráfica:

La circunferencia

Ecuación de la circunferencia:

$$x^{2}+y^{2}-2x-6y-31=0$$


Ejemplo # 7

Determine la ecuación de la circunferencia de diámetro en el punto (−3,5) y (7, −3).

Solución:

Punto medio del diámetro es igual al punto centro de la circunferencia:

$$C=\left ( \frac{x_{1}+x_{2}}{2},\frac{y_{1}+y_{2}}{2} \right )$$

$$C=\left ( \frac{-3+7}{2},\frac{5-3}{2} \right )$$

$$C\left ( 2,1 \right )$$

Cálculo del radio:

A(−3,5); C(2,1)

$$r=\sqrt{(x_{2}-x_{1})^{2}+(y_{2}-y_{1})^{2}}$$

$$r=\sqrt{(-3-2)^{2}+(5-1)^{2}}=\sqrt{25+16}=\sqrt{41}$$

 

Ecuación ordinaria:

$$\left (x-h  \right )^{2}+\left ( y-k \right )^{2}=r^{2}$$

Sustitución:

$$\left (x-2  \right )^{2}+\left ( y-1 \right )^{2}=(\sqrt{41})^{2}$$

$$\left ( x-2 \right )^{2}+\left ( y-1 \right )^{2}=41$$

$$x^{2}+y^{2}-4x-2y-36=0$$

Ecuación de la circunferencia:

$$x^{2}+y^{2}-4x-2y-36=0$$


Ejemplo # 8

Determinar la ecuación de la circunferencia de centro en el punto (1, −3) que pasa por el punto (4,3).

Solución:

Se aplica la fórmula de la distancia entre dos puntos:

$$d=r=\sqrt{(x_{2}-x_{1})^{2}+(y_{2}-y_{1})^{2}}$$

$$d=r=\sqrt{(4-1)^{2}+(3-(-3))^{2}}=\sqrt{9+36}=\sqrt{45}=3\sqrt{5}$$

 

Ecuación ordinaria:

$$\left (x-h  \right )^{2}+\left ( y-k \right )^{2}=r^{2}$$

$$\left (x-1  \right )^{2}+\left ( y+3 \right )^{2}=\left ( 3\sqrt{5} \right )^{2}$$

$$(x-1)^{2}+(y+3)^{2}=45$$

$$x^{2}+y^{2}-2x+6y-35=0$$

Ecuación de la circunferencia:

$$x^{2}+y^{2}-2x+6y-35=0$$


Ejemplo # 9

¿Cuál es la ecuación de la circunferencia cuyo centro está en C(−1, −5) y es tangente al eje «y»?

Solución:

Se grafica el centro C(-1,-5)

La circunferencia

Como es tangente al eje “y” su radio es:$$r=1$$

Como se tiene el radio y centro, se aplica la ecuación ordinaria:

$$\left (x-h  \right )^{2}+\left ( y-k \right )^{2}=r^{2}$$

$$\left (x+1  \right )^{2}+\left ( y+5 \right )^{2}=1$$

$$x^{2}+y^{2}+2x+10y+25=0$$

Ecuación de la circunferencia:

$$x^{2}+y^{2}+2x+10y+25=0$$

Gráfica:

La circunferencia


Ejemplo # 10

El centro de una circunferencia es el punto (5, −2) y pasa por el origen. ¿Cuál es su ecuación?

Solución:

Se grafican los datos dados:

Centro-Punto

Cálculo del radio:

$$\left (x-h  \right )^{2}+\left ( y-k \right )^{2}=r^{2}$$

$$\left (0-5  \right )^{2}+\left ( 0+2 \right )^{2}=r^{2}$$

$$25+4=r^{2}$$

$$r=\sqrt{29}$$

Cálculo de la ecuación:

$$\left (x-h  \right )^{2}+\left ( y-k \right )^{2}=r^{2}$$

$$(x-5)^{2}+(y+2)^{2}=29$$

$$x^{2}+y^{2}-10x+4y=0$$

Ecuación de la circunferencia:

$$x^{2}+y^{2}-10x+4y=0$$


Ejemplo # 11

Obtén la ecuación de la circunferencia de centro en el punto (−4,2) y diámetro 8 unidades.

Solución:

Radio:

$$r=\frac{d}{2}=\frac{8}{2}=4$$

Cálculo de la ecuación aplicando la ecuación ordinaria:

$$\left (x-h  \right )^{2}+\left ( y-k \right )^{2}=r^{2}$$

$$\left (x+4  \right )^{2}+\left ( y-2 \right )^{2}=16$$

$$x^{2}+y^{2}+8x-4y+4=0$$

Ecuación de la circunferencia:

$$x^{2}+y^{2}+8x-4y+4=0$$


Ejemplo # 12

Una circunferencia tiene su centro en (0, −2) y es tangente a la recta 5𝑥 − 12𝑦 + 2 = 0 ¿Cuál es su ecuación?

Solución:

Graficar los puntos dados:

Centro

Conclusión: Como es tangente a una recta y se tiene el centro A(0,-2), se calcula el radio que va desde el centro hasta el punto tangente a la recta, es decir se aplica la fórmula de la distancia entre un punto a una recta.

Cálculo del radio, aplicando la fórmula de la distancia de un punto a una recta.

$$d=r=\frac{\left | Ax_{1}+By_{1}+C\right |}{\sqrt{A^{2}+B^{2}}}$$

$$r=\frac{\left | 5(0)-12(-2)+2\right |}{\sqrt{5^{2}+(-12)^{2}}}=\frac{\left | 24+2\right |}{13}=2$$

Cálculo de la ecuación:

$$x^{2}+(y+2)^{2}=4$$

$$x^{2}+y^{2}+4y=0$$

Ecuación:

$$x^{2}+y^{2}+4y=0$$


Ejemplo # 13

Una circunferencia tiene su centro en (4, −3) y es tangente a la recta 3𝑥 + 4𝑦 − 10 = 0 ¿Cuál es su ecuación?

Solución:

Cálculo del radio aplicando la fórmula distancia de un punto a una recta:

$$d=r=\frac{\left | Ax_{1}+By_{1}+C\right |}{\sqrt{A^{2}+B^{2}}}$$

$$r=\frac{\left | 3(4)+4(-3)-10\right |}{\sqrt{3^{2}+4^{2}}}=\frac{\left | 12-12-10\right |}{5}=2$$

 

Cálculo de la ecuación aplicando la ecuación ordinaria:

$$(x-4)^{2}+(y+3)^{2}=4$$

$$x^{2}+y^{2}-8x+6y+21=0$$

Ecuación:

$$x^{2}+y^{2}-8x+6y+21=0$$


Ejemplo # 14

Una circunferencia tiene su centro en (−2,3) y es tangente a la recta 20𝑥 − 21𝑦 − 42 = 0 ¿Cuál es su ecuación?

Solución:

Radio:

$$ r=\frac{\left | Ax_{1}+By_{1}+C\right |}{\sqrt{A^{2}+B^{2}}}$$

$$ r=\frac{\left | 20(-2)-21(3)-42\right |}{\sqrt{20^{2}+(-21)^{2}}}=\frac{\left | -40-63-42\right |}{29}=\frac{145}{29}=5$$

 

Ecuación:

$$(x+2)^{2}+(y-3)^{2}=25$$

$$x^{2}+y^{2}+4x-6y-12=0$$

Ecuación:

$$x^{2}+y^{2}+4x-6y-12=0$$


Ejemplo # 15

Hallar la ecuación de una circunferencia que pasa por los puntos D(3,4); C(11,4) y B(7,-4)

 Solución:

Como los tres puntos están en la circunferencia$$x^{2}+y^{2}+Dx+Ey+F=0$$Dicha ecuación se cumple para cada uno de los puntos.

Parte # 1

Sustitución de cada punto en la ecuación general:

D(3,4)

$$3^{2}+4^{2}+D(3)+E(4)+F=0$$
$$9+16+3D+4E+F=0$$
$$3D+4E+F=-25$$

C(11,4)

$$11^{2}+4^{2}+D(11)+E(4)+F=0$$
$$121+16+11D+4E+F=0$$
$$11D+4E+F=-137$$

B(7,-4)

$$7^{2}+(-4)^{2}+D(7)+E(-4)+F=0$$
$$49+16+7D-4E+F=0$$
$$7D-4E+F=-65$$

Parte # 2

Se forma un sistema de tres ecuaciones lineales, el cual se resuelve aplicando la Regla de Cramer para determinar los valores de 𝐷, 𝐸 y 𝐹.

Sistema de ecuaciones dado:

$$
\begin{cases}
3D + 4E + F = -25 \\[4pt]
11D + 4E + F = -137 \\[4pt]
7D – 4E + F = -65
\end{cases}
$$

1. Cálculo del determinante principal

$$
\Delta =
\begin{vmatrix}
3 & 4 & 1 \\
11 & 4 & 1 \\
7 & -4 & 1
\end{vmatrix}
$$

Aplicando la regla de Sarrus:

$$
\begin{aligned}
\Delta &= 4\cdot11\cdot1 + 1\cdot4\cdot7 + 1\cdot(-4)\cdot3 \\[4pt]
&\quad -\big(4\cdot1\cdot7 + 3\cdot4\cdot1 + 11\cdot(-4)\cdot1\big) \\[4pt]
&= (44 + 28 – 12) – (28 +12-44 ) \\[4pt]
&= 60 +4 = 64
\end{aligned}
$$

$$\boxed{\Delta = 64}$$

2. Cálculo de ΔD

$$
\Delta_D =
\begin{vmatrix}
-25 & 4 & 1 \\
-137 & 4 & 1 \\
-65 & -4 & 1
\end{vmatrix}
$$

$$
\begin{aligned}
\Delta_D &= 4\cdot(-137)\cdot1 + 1\cdot4\cdot(-65) + 1\cdot(-4)\cdot(-25) \\[4pt]
&\quad -\big(4\cdot1\cdot(-65) + (-25)\cdot4\cdot1 + (-137)\cdot(-4)\cdot1\big) \\[4pt]
&= (-548 – 260 + 100) – (-260 – 100 + 548) \\[4pt]
&= -708 – 188 = -896
\end{aligned}
$$

$$\boxed{\Delta_D = -896}$$

3. Cálculo de ΔE

$$
\Delta_E =
\begin{vmatrix}
3 & -25 & 1 \\
11 & -137 & 1 \\
7 & -65 & 1
\end{vmatrix}
$$

$$
\begin{aligned}
\Delta_E &= -25\cdot11\cdot1 + 1\cdot(-137)\cdot7 + 1\cdot(-65)\cdot3 \\[4pt]
&\quad -\big(-25\cdot1\cdot7 + 3\cdot(-137)\cdot1 + 11\cdot(-65)\cdot1\big) \\[4pt]
&= (-275 -959 – 195) – (-175 – 411 – 715) \\[4pt]
&= -1429 +1301) = -128
\end{aligned}
$$

$$\boxed{\Delta_E = -128}$$

4. Cálculo de ΔF

$$
\Delta_F =
\begin{vmatrix}
3 & 4 & -25 \\
11 & 4 & -137 \\
7 & -4 & -65
\end{vmatrix}
$$

$$
\begin{aligned}
\Delta_F &= 4\cdot11\cdot(-65) + (-25)\cdot4\cdot7 + (-137)\cdot(-4)\cdot3 \\[4pt]
&\quad -\big(4\cdot(-137)\cdot7 + 3\cdot4\cdot(-65) + 11\cdot(-4)\cdot(-25)\big) \\[4pt]
&= (-2860 – 700 + 1644) – (-3836 – 780 +1100) \\[4pt]
&= -1916 – (-3516) \\[4pt]
&= -1916 + 3516 = 1600
\end{aligned}
$$

$$\boxed{\Delta_F = 1600}$$

5. Aplicación de la Regla de Cramer

$$
D = \dfrac{\Delta_D}{\Delta}, \quad
E = \dfrac{\Delta_E}{\Delta}, \quad
F = \dfrac{\Delta_F}{\Delta}
$$

$$
\begin{aligned}
D &= \dfrac{-896}{64} = -14, \\[6pt]
E &= \dfrac{-128}{64} = -2, \\[6pt]
F &= \dfrac{1600}{64} = 25
\end{aligned}
$$

Se tiene que:

$$\boxed{D = -14, \quad E = -2, \quad F = 25}$$

Resultado

$$x^{2}+y^{2}-14x-2y+25=0$$


Ejemplo # 16

Hallar la ecuación de la circunferencia que pasa por los puntos A(2,5); B(6,3) y C(2,-5)

Solución:

Para hallar la ecuación de la circunferencia, se requieren el centro (h, k) y el radio $(r)$. Dado que el centro equidista de los puntos de la circunferencia, este se sitúa sobre la mediatriz de cualquier segmento (cuerda) que una dos de esos puntos. La intersección de las mediatrices de dos cuerdas distintas define el centro de la circunferencia.

Se grafica y se unen los puntos A y B, B y C para comprender mejor la situación.

Eje 16

Calculo de la ecuación de la mediatriz  del segmento AB

Determinar el punto medio:

A(2,5); B(6,3)

$$M=\left ( \frac{x_{1}+x_{2}}{2},\frac{y_{1}+y_{2}}{2} \right )$$
$$M=\left ( \frac{6+2}{2},\frac{3+5}{2} \right )=(4,4)$$
$$M(4,4)$$

Cálculo de la pendiente de la recta de la mediatriz:

Pendiente del segmento AB:

A(2,5); B(6,3)

$$m_{1}=\frac{y_{2}-y_{1}}{x_{2}-x_{1}}$$

$$m_{1}=\frac{3-5}{6-2}=\frac{-2}{4}=-\frac{1}{2}$$

$$m_{1}=-\frac{1}{2}$$

Pendiente de la mediatriz:

$$m_{2}=-\frac{1}{m_{1}}=-\frac{1}{-\frac{1}{2}}=2$$

$$m_{2}=2$$

Ecuación punto-pendiente

$$M(4,4);m=2$$

$$y-y_{1}=m(x-x_{1})$$

$$y-4=2(x-4)$$

$$y=2x-8+4$$

Resultado:

$$y=2x-4$$

Calculo de la ecuación de la mediatriz  del segmento BC

Punto medio:

B(6,3); C(2,-5)

$$P=\left ( \frac{x_{1}+x_{2}}{2},\frac{y_{1}+y_{2}}{2} \right )$$
$$P=\left ( \frac{2+6}{2},\frac{-5+3}{2} \right )=(4,-1)$$
$$P(4,-1)$$

Pendiente de la mediatriz

Pendiente del segmento BC:

B(6,3); C(2,-5)

$$m_{1}=\frac{y_{2}-y_{1}}{x_{2}-x_{1}}$$

$$m_{1}=\frac{-5-3}{2-6}=\frac{-8}{-4}=2$$

$$m_{1}=2$$

Pendiente de la mediatriz:

$$m_{2}=-\frac{1}{m_{1}}=-\frac{1}{2}$$

$$m_{2}=-\frac{1}{2}$$

Ecuación punto-pendiente

$$P(4,-1);m=-\frac{1}{2}$$

$$y-y_{1}=m(x-x_{1})$$

$$y+1=-\frac{1}{2}(x-4)$$

$$y=-\frac{1}{2}x+2-1$$

$$y=-\frac{1}{2}x+1$$

Resultado:

$$y=-\frac{1}{2}x+1$$

Puntos medios graficados:

Puntos medios eje 16

Establecer un sistema de ecuaciones para determinar el punto (centro de la circunferencia) donde se intersecan ambas mediatrices

Se aplica el método de reducción:

$$
\begin{array}{rl}
\!\!\!\!\!\!\!^{-1}\! &
\left\{
\begin{array}{l}
y = 2x – 4 \\
y = -\tfrac{1}{2}x + 1
\end{array}
\right.
\end{array}
$$

$$
\begin{array}{rcl}
-y &=& -2x + 4 \\[4pt]
\,y &=& -\tfrac{1}{2}x + 1 \\[4pt]
\hline
0 &=& -\tfrac{5}{2}x + 5
\end{array}
$$

$$\frac{5}{2}x=5$$

$$x=\frac{10}{5}$$

$$x=2$$

Reemplazar $$x=2$$En la primera ecuación y así obtener el valor de “y”

$$y=2(2)-4$$

$$y=0$$

Centro de la circunferencia$$I(2,0)$$

Cálculo del radio

$$I(2,0);C(2,-5)$$

$$r=\sqrt{(x_{2}-x_{1})^{2}+(y_{2}-y_{1})^{2}}$$

$$r=\sqrt{(2-2)^{2}+(-5-0)^{2}}=\sqrt{25}=5$$

Ecuación de la circunferencia

$$r^{2}=\sqrt{(x_{2}-x_{1})^{2}+(y_{2}-y_{1})^{2}}$$

$$5^{2}=\sqrt{(x-2)^{2}+(y-0)^{2}}$$

$$25=x^{2}-4x+4+y^{2}$$

$$x^{2}+y^{2}-4x+4-25=0$$

$$x^{2}+y^{2}-4x-21=0$$

Resultado:

$$x^{2}+y^{2}-4x-21=0$$

Gráfica:

Eje 16. Circunferencia


 

Actividades

1. Hallar la ecuación de la circunferencia con centro en el origen y radio de 7 unidades. Rep.$$x^{2}+y^{2}-49=0$$

2. Determine la ecuación de la circunferencia con centro en el origen y radio de $$\frac{\sqrt{5}}{3}$$ Rep. $$9x^{2}+9y^{2}-5=0$$

3. Determina la ecuación de la circunferencia de centro (2, -4) y radio de 3 unidades. Rep. $$x^{2}+y^{2}-4x+8y+11=0$$

4. Calcular la ecuación de la circunferencia de centro (-1/3, -1/4) y radio 1/2 unidades. Rep. $$144x^{2}+144y^{2}+96x+72y+11=0$$

5. ¿Cuál es la ecuación de la circunferencia de centro en el origen y que pasa por el punto (4, -1)? Rep. $$x^{2}+y^{2}-17=0$$

6. Hallar la ecuación de la circunferencia cuyo diámetro es el segmento formado por A(-2, 5) y B(4, 1).

7. Determine la ecuación de la circunferencia de diámetro con extremos en (1, 6) y (5, -2).

8. Determinar la ecuación de la circunferencia de centro (2, -1) que pasa por el punto (5, 3).

9. ¿Cuál es la ecuación de la circunferencia cuyo centro está en C(-3, -2) y es tangente al eje «y»?

10. El centro de una circunferencia es el punto (3, -4) y pasa por el origen. ¿Cuál es su ecuación?

11. Obtén la ecuación de la circunferencia de centro en el punto (-5, 1) y diámetro de 12 unidades.

12. Una circunferencia tiene centro en (0, -3) y es tangente a la recta 3x−4y+3=0.

13. Una circunferencia tiene centro en (1, -2) y es tangente a la recta 4x+3y−13=0.

14. Una circunferencia tiene centro en (-1, 2) y es tangente a la recta 8x−15y−12=0.

15. Hallar la ecuación de la circunferencia que pasa por D(2, 2), C(6, 2) y B(4, -2).

16. Hallar la ecuación de la circunferencia que pasa por los puntos A(1, 4), B(5, 2) y C(1, -4).


Preguntas Frecuentes sobre la Circunferencia

Parte I

  1. ¿Qué es una circunferencia en geometría analítica?

Es el lugar geométrico de los puntos que equidistan de un punto fijo llamado centro.

  1. ¿Cuál es la diferencia entre círculo y circunferencia?

La circunferencia es el borde (línea curva), mientras que el círculo es la superficie interior.

  1. ¿Cuál es la ecuación ordinaria de la circunferencia?

Es $$(x-h)^{2} + (y-k)^{2} = r^{2}$$

  1. ¿Qué representan ‘h’ y ‘k’ en la ecuación?

Representan las coordenadas del centro C(h, k) en el plano cartesiano.

  1. ¿Cómo es la ecuación de la circunferencia con centro en el origen?

Se simplifica a $$x^{2} + y^{2} = r^{2}$$

Parte II

  1. ¿Qué es la ecuación general de la circunferencia?

Es la forma desarrollada $$x^{2} + y^{2} + Dx + Ey + F = 0$$

  1. ¿Cómo se pasa de la ecuación ordinaria a la general?

Desarrollando los binomios al cuadrado e igualando la ecuación a cero.

  1. ¿Cómo calcular el radio si tengo la ecuación general?

Usando la fórmula $$r = \frac{\sqrt{D^{2} + E^{2} – 4F}}{2}$$

  1. ¿Cómo hallar el centro desde la ecuación general?

Las coordenadas son $$h = -D/2$$ y $$k = -E/2$$

  1. ¿Qué sucede si el radio es igual a cero?

La ecuación representa un solo punto (el centro).

Parte III

  1. ¿Qué indica un radio con valor imaginario o negativo?

Significa que la ecuación no representa una circunferencia real.

  1. ¿Cómo calcular el radio si conozco un punto por el que pasa?

Usando la fórmula de distancia entre el centro y ese punto.

  1. ¿Qué es una recta tangente a la circunferencia?

Es una recta que toca a la circunferencia en un solo punto.

  1. ¿Cómo hallar el radio si la circunferencia es tangente a una recta?

El radio es la distancia del centro a dicha recta.

  1. ¿Qué es el diámetro de una circunferencia?

Es el segmento que une dos puntos pasando por el centro; su medida es dos veces el radio.

Parte IV

  1. ¿Cómo hallar la ecuación si solo tengo los extremos del diámetro?

El centro es el punto medio del segmento y el radio es la mitad de su longitud.

  1. ¿Cuántos puntos se necesitan para definir una circunferencia única?

Se requieren tres puntos no colineales.

  1. ¿Para qué sirve la circunferencia en la ingeniería?

Para el diseño de curvas en carreteras, engranajes y estructuras circulares.

  1. ¿Qué es una circunferencia unitaria?

Es aquella que tiene su centro en el origen y un radio igual a 1.

  1. ¿Cómo saber si un punto está dentro, fuera o sobre la circunferencia?

Sustituyendo el punto en la ecuación: si es menor que $$r^{2}$$ está dentro, si es igual está sobre, y si es mayor está fuera.


¿Quieres practicar más la circunferencia con un tutor?

Podemos preparar una sesión personalizada con ejercicios guiados, resolución paso a paso y seguimiento del progreso.

Solicita una tutoría


© LaProfeMatematik · Aprender con amor de Dios y mucha pasión

Matrices: concepto, tipos, características, sumas y multiplicaciones

Matrices: concepto, tipos, características, sumas y multiplicaciones

Matrices: concepto, tipos, características, sumas y multiplicaciones¿Sabes cómo las Matrices transforman tus fotos y videojuegos? No son solo tablas de números; las Matrices son el lenguaje secreto de la tecnología digital. Cada vez que aplicas un filtro en Instagram o TikTok, estás usando Matrices sin darte cuenta. Una imagen es, en esencia, una gran Matriz de píxeles, y los filtros son pequeñas Matrices de convolución que aplican cálculos para cambiar el color o el brillo.

En los videojuegos, las Matrices de transformación son la clave: ellas calculan cómo rotar y mover los objetos 3D en la pantalla. Al aprender Matrices, no solo entiendes un concepto matemático; ¡estás descubriendo cómo se programan los efectos visuales, los tipos de datos y las operaciones que dan vida a tu mundo digital!


Matrices

Son arreglos rectangulares compuesto por números o funciones organizados en fila (horizontal) y columna (vertical).

Características de la matriz

Matrices: concepto, tipos, características, sumas y multiplicaciones

Una matriz está conformada por las siguientes características:

  • Se denotan con una letra mayúscula como:

A, B, C, D, …, etc.

  • Utilizan paréntesis ( ) o corchetes [  ] para encerrar a los elementos de la matriz.

  • Dimensión u orden es el tamaño de la matriz. Ejemplo: 3 x 2 el 3 significa la cantidad de filas y el 2 la cantidad de columnas.

  • Cada uno de los números o funciones que componen a la matriz se llama elemento.
  • Los elementos se denotan con una letra minúscula y con un subíndice, el primero indica la fila y el segundo la columna. Como:

aij , bij ,…, etc.

aij se lee “a sub ij

Observa los elementos de la matriz A2×3 relacionándola con una matriz genérica.

Matrices: concepto, tipos, características, sumas y multiplicaciones

  • Cuando una matriz posee la misma cantidad de filas y columnas, es decir, si m = n se le da el nombre de matriz cuadrada.

  • Si m es distinto a n se dice que es una matriz rectangular.

  • Una matriz que posee una sola fila o una sola columna se les llama vector fila o vector columna, respectivamente.


Particularidades de las matrices cuadradas

Matrices: concepto, tipos, características, sumas y multiplicacionesLas matrices cuadradas son aquellas que tienen igual número de filas que de columnas, es decir, en las que m = n.

Una matriz con n filas y n columnas es una matriz cuadrada.

  • Elementos principales. En una matriz cuadrada los elementos principales son aquellos que poseen los dos subíndices iguales, ejemplo: a11, a22, a33, a44, …, ann.

  • Diagonal principal o mayor. Está formado por los elementos principales.

  • Traza. Es la suma de los elementos de la diagonal principal. Denotado como tr( ).

$$tr(F)=2+3+9+2$$
$$tr(F)=15$$

  • Diagonal secundaria. Es la otra diagonal formada por los elementos que poseen subíndices que suman n + 1.

  • Elementos conjugados. Son aquellos elementos que poseen el mismo subíndice pero de forma inversa. Ejemplo: a31 y a13.
    Los elementos conjugados son simétricos con respecto a la diagonal principal.

 

  • Matriz diagonal. Es una matriz cuadrada donde los elementos de la diagonal principal son distintos de cero.

  • Matriz escalar. Es una matriz diagonal donde sus elementos principales son iguales.

  • Matriz unidad o identidad. Es una matriz escalar donde sus elementos principales son iguales a uno.

  • Matriz nula. Es una matriz que tiene todos sus elementos son iguales a cero.

  • Matriz triangular superior. Es una matriz cuadrada donde todos sus elementos que se encuentren en la parte inferior de la diagonal principal son iguales a cero.

  • Matriz triangular inferior. Todos los elementos ubicados en la parte superior de la diagonal principal son iguales a cero.


Tipos de matrices

Matrices: concepto, tipos, características, sumas y multiplicacionesLas matrices se clasifican según:

  1. Dimensiones.
  • Filas ( 1 x n ).
  • Columna ( m x 1).
  • Rectangular ( m x n, con m distinto n ).
  • Cuadrada ( n x n ).
  1. Valores de sus elementos.
  • Nula (todos ceros).
  • Diagonal.
  • Escalar.
  • Identidad.

Aplicación: La matriz nula puede presentarse en cualquier dimensión, mientras que la diagonal, la escalar y la identidad corresponden únicamente a matrices cuadradas.

  1. Posición de ceros.
  • Triangular superior.
  • Triangular inferior

Aplicable únicamente en el caso de matrices cuadradas.

  1. Transformaciones y propiedades.
  • Traspuesta ( AT )
  • Simétrica ( A = AT )
  • Antisimétrica ( A = -AT )
  • Inversa ( A-1 )
  • Ortogonal ( AT = A-1 )
  • Semejante ( B = P-1AP )

Aplicación: La traspuesta puede definirse para cualquier matriz, mientras que las demás corresponden únicamente a matrices cuadradas.

Matriz traspuesta: Se obtiene al intercambiar las filas por las columnas de una matriz. La traspuesta de una matriz A se denota como AT. Si la matriz original tiene orden 𝑚 × 𝑛, entonces su traspuesta tendrá orden 𝑛 × 𝑚.

Matriz simétrica: Es una matriz cuadrada que coincide con su traspuesta, es decir, 𝐴 = 𝑇.

Matriz antisimétrica: Es una matriz cuadrada en la que los elementos equidistantes respecto a la diagonal principal son opuestos entre sí, y todos los elementos de la diagonal principal son nulos.


Operaciones elementales con matrices

Las operaciones con matrices que se tratará en este post son: suma de matrices, multiplicación de un escalar por una matriz, diferencia y multiplicación de matrices.


Suma de matrices

Matrices: concepto, tipos, características, sumas y multiplicacionesPara sumar dos o más matrices deben poseer el mismo orden, es decir, la misma cantidad de filas y columnas.

Para realizar esta operación se deben sumar los elementos que ocupan la misma posición en las matrices.

Diferencia de matrices

La resta de dos matrices se define como: A – B = A + (-B), donde -B es la matriz opuesta de B. Es decir, restar matrices es sumar la primera con la segunda cambiada de signo.


Ejemplo. Dada las matrices A, D, K. Determine las siguientes operaciones.

  1. A + D + K
  2. A + K – D
  3. A – D – K
  4. D – K + A
  5. D + D + K
  6. K + D – K
  7. –K – D + A
  8. –K + D – A








Multiplicación de un escalar por una matriz

Matrices: concepto, tipos, características, sumas y multiplicacionesEl producto de un escalar por una matriz es la matriz que se obtiene al multiplicar cada elemento de la matriz por el escalar.

Ejemplo. Determinar 2A + 3B


Producto de matrices

Antes de multiplicar dos matrices es necesario verificar que:

  • El número de columnas de la primera coincida con el número de filas de la segunda.
¿Cómo puedo comprobar, de manera sencilla, si dos matrices son multiplicables?

Para saber si dos matrices pueden multiplicarse, debes comparar su orden: si el número de columnas de la primera matriz (𝑆) coincide con el número de filas de la segunda (𝐼), entonces la multiplicación está definida.

Esto quiere decir que la matriz puede multiplicarse con la matriz I.

¿Cuántas filas y columnas tendrá el producto de dos matrices?

Matrices: concepto, tipos, características, sumas y multiplicaciones

Para determinar el número de filas y columnas del producto de dos matrices, se toma el número de filas de la primera matriz y el número de columnas de la segunda. Esa será la dimensión de la matriz resultante. Observa el siguiente ejemplo:

Entonces, la dimensión de la matriz resultante es ( 2 × 3 ).

La escritura del ejemplo es la siguiente:

$$S_{2\times 4}\cdot I_{4\times 3}=M_{2\times 3}$$

Donde:

S tiene filas y columnas.

tiene filas y columnas.

El producto existe y tendrá orden m × p.

¿Cómo puedo multiplicar dos matrices?

Para calcular cada elemento de la matriz producto, debes:

  1. Seleccionar una fila de la primera matriz 𝐴.
  2. Elegir una columna de la segunda matriz 𝐵.
  3. Multiplicar elemento por elemento. Elemento 1 de la fila 𝐴 con el elemento 1 de la columna 𝐵, elemento 2 de la fila 𝐴 con el elemento 2 de la columna 𝐵 y así sucesivamente.
  4. Sumar todos esos productos.
  5. Identificar el elemento (ejemplo:  a11 = 5) con su valor respectivo y ubicarlo en la posición correspondiente de la matriz.
  6. Repite el procedimiento con cada fila de 𝐴 y cada columna de 𝐵 hasta completar todos los elementos de la matriz producto.

Ejemplo # 1. Dada las matrices H y G. Determinar HG.

Matrices: concepto, tipos, características, sumas y multiplicaciones


Solución

$$H_{1\times 3}\cdot G_{3\times 1}=O_{1\times 1}$$
$$C_{1\times 1}=-8+15-3=4$$
$$\boxed{C_{1\times 1}=[4]}$$


Ejemplo # 2. Determinar AB.

Matrices: concepto, tipos, características, sumas y multiplicaciones


Solución

$$A_{1\times 3}\cdot B_{3\times 2}=C_{1\times 2}$$
$$C_{1\times 2}=\left [ C_{11}\,\, \, C_{12} \right ]$$

Multiplicar la fila (A) con la primera columna (B), para obtener el elemento C11.

$$C_{11}=-8\,\,+6\,\,-5$$
$$C_{11}=-7$$

Multiplicar la fila (A) con la segunda columna (B), para obtener el elemento C12.


$$C_{12}=4\,+2\,\,-2$$
$$C_{12}=4$$

Matriz producto

$$\boxed{C_{1\times 2}=\left [ -7\,\,\,\,\,4 \right ]}$$


Ejemplo # 3. Determinar el producto de las matrices A y B.

Matrices: concepto, tipos, características, sumas y multiplicaciones


Solución

$$A_{1\times 3}\cdot B_{3\times 3}=C_{1\times 3}$$
$$C_{1\times 3}=\left [ C_{11}\,\, \, C_{12}\,\,\,C_{13} \right ]$$

$$C_{11}=-8+6-5=-7$$
$$C_{12}=4+2-2=4$$
$$C_{13}=12+2-4=10$$

Resultado:
$$C_{1\times 3}=\left [ -7\,\,\,4\,\,\,10 \right ]$$


Ejemplo # 4. Calcular A • B


Solución

$$A_{2\times 3}\cdot B_{3\times 3}=C_{2\times 3}$$

Cálculo de todos los elementos de la matriz C

$$\textstyle C_{11}=-8+6-5=-7$$
$$\textstyle C_{21}=-2+9+10=17$$
$$\textstyle C_{12}=4+2-2=4$$
$$\textstyle C_{22}=1+3+4=8$$
$$\textstyle C_{13}=12+2-4=10$$
$$\textstyle C_{23}=3+3+8=14$$

Al distribuir cada elemento el producto de la matriz es:


Ejemplo # 5. Multiplicar las matrices AB

Matrices: concepto, tipos, características, sumas y multiplicaciones


Solución

$$A_{3\times 2}\cdot B_{2\times 5}=C_{3\times 5}$$

Valores de los elementos de la matriz C

$$C_{11}=(-2+4)=2$$
$$C_{12}=(1+6)=7$$
$$C_{13}=(-4+2)=-2$$
$$C_{14}=(3-12)=2$$
$$C_{15}=(-1+10)=9$$
$$C_{21}=(6+8)=14$$
$$C_{22}=(-3+12)=9$$
$$C_{23}=(12+4)=16$$
$$C_{24}=(-9-24)=-33$$
$$C_{25}=(3+20)=23$$
$$C_{31}=(4+10)=14$$
$$C_{32}=(-2+15)=13$$
$$C_{33}=(8+5)=13$$
$$C_{34}=(-6-30)=-36$$
$$C_{35}=(2+25)=27$$

Respuesta


Simulador de producto de matrices

¿Cansados de los errores al multiplicar Matrices a mano? ¡El misterio de filas por columnas se acaba hoy! Llegó el momento de poner a prueba tus conocimientos de una forma visual e interactiva.

Te presento nuestro simulador, tu herramienta para dominar el producto de matrices. Olvídate de los largos cálculos en papel; ahora vas a ver la operación en acción y entender su lógica.

Con el Simulador:

Visualiza el Proceso: Observa paso a paso cómo se combinan filas y columnas, entendiendo por qué el orden es fundamental.

Domina la Compatibilidad: Prueba a multiplicar distintos tamaños de matrices para ver si el producto es posible, ¡al instante!

Este es tu campo de entrenamiento virtual para dominar una habilidad clave en la programación y la ingeniería. ¡Es hora de multiplicar como un profesional!

 


¿Quieres practicar más con un tutor?

Podemos preparar una sesión personalizada con ejercicios guiados, resolución paso a paso y seguimiento del progreso.

Solicita una tutoría

 


Actividades

I.Escribe el valor de cada elemento de acuerdo con la siguiente matriz

Matrices: concepto, tipos, características, sumas y multiplicaciones

II.Escribe el orden de las siguientes matrices

III.Construye una matriz de acuerdo con las características indicadas

  1. Matriz simétrica de orden 3×3.
  2. Matriz antisimétrica de orden 4×4.
  3. Matriz Triangular superior de orden 3×3.
  4. Matriz Triangular inferior de orden 4×4 y que tenga a11=a22=a33=a44=5

IV.Hallar el valor de las incógnitas que satisfacen cada igualdad.

V.Determina la matriz asociada a cada uno de los siguientes de ecuaciones.

VI.Resuelve las operaciones indicadas

VII.Un empresario estudia el reporte de dos años consecutivos de producción, en miles de toneladas que se muestra a continuación:

  1. ¿Cómo se puede representar esa información por medio de dos matrices?
  2. ¿Cuál matriz representa la producción total de ambos años y la diferencia entre el 1° año y 2° año, según zona y producto?

Resultados

I

II

  1. (1×2)
  2. (2×3)
  3. (1×3)
  4. (2×2)
  5. (3×1)
  6. (4×3)
  7. (3×2)
  8. (4×2)

III

IV

x=-7, y=12.

x=-4.5, y=-7.5.

x=8, y=2.

x=4, y=-1/6, z=1/2.

x=7, y=10.

x=3, y=7, z=6.

V.

 

 

Dominio, asíntotas y gráficas: 10 ejercicios resueltos de funciones racionales (Parte I)

Dominio, asíntotas y gráficas: 10 ejercicios resueltos de funciones racionales (Parte I)

¿Quieres saber más de dominio, asíntotas y gráficas? Si es así, has llegado al sitio indicado. La siguiente colección de 10 ejercicios te invita a dominar el análisis de funciones racionales, una habilidad clave que va mucho más allá del aula. Al resolverlos, no solo adquirirás la destreza para identificar dominios y asíntotas, sino que también desarrollarás una capacidad de pensamiento crítico aplicable en diversas áreas.

Entender estas funciones te permitirá interpretar datos en la economía para predecir tendencias de mercado, en la ingeniería para diseñar sistemas eficientes, e incluso en la ciencia para modelar fenómenos biológicos. Esta práctica te equipará con las herramientas necesarias para descifrar la complejidad de nuestro entorno, transformando un concepto matemático abstracto en una poderosa herramienta para la toma de decisiones y la solución de problemas en la vida real.


Funciones racionales

Las funciones racionales están compuesta por la división de dos polinomios. Su forma general es:

$$f(x)=\frac{R(x)}{S(x)}$$

Donde R(xy S(x) son polinomios, y S(x) ≠ 0.


Consideraciones para el análisis

Para analizar una función racional, es fundamental centrarse en dos aspectos: su dominio y el comportamiento de sus asíntotas. Estos elementos son esenciales para comprender tanto los puntos de discontinuidad de la función como su comportamiento a largo plazo.

Dominio

El dominio de una función racional son todos los números reales, a excepción de valores que convierten al denominador S(xa cero.

Asíntotas

Según los grados de los polinomios R(xy S(x), una función racional puede poseer asíntotas las cuales son rectas imaginarias que actúan como guías o límites en el comportamiento de la función.

Existen tres tipos de asíntotas: verticales, horizontales y oblicuas.

Una función racional puede poseer:

  • Varias asíntotas verticales de acuerdo con las raíces reales del denominador.
  • Una asíntota horizontal y varias verticales, cuando el grado del numerador es menor o igual al del denominador.
  • Una asíntota oblicua y varias verticales, cuando el grado del numerador es exactamente uno más que el del denominador.
Asíntotas verticales

Las asíntotas verticales son rectas que actúan como barreras o límites indicando los valores de x para los cuales la función no está definida, es decir, los valores que no pertenecen a su dominio. Esto ocurre cuando el denominador de una función racional se anula. Su forma es a .

Asíntotas horizontales

Una asíntota horizontal es una recta imaginaria de la forma y = b que describe el comportamiento a largo plazo de una función. La curva de la función se aproxima a esta recta a medida que los valores de x se hacen extremadamente grandes o pequeños ( x → ∞ o x → -∞ ).

A diferencia de las asíntotas verticales que son barreras estrictas, la asíntota horizontal no es una limitación para toda la función. La curva puede cruzarla en algún punto, pero a medida que se aleja del origen, la distancia entre la función y la asíntota tiende a cero.

Este tipo de asíntota es esencialmente el límite de la función en el infinito, lo cual expresa hacia qué valor constante se dirige la función en sus extremos.

Por ejemplo, si una función tiene una asíntota horizontal en  = 4, significa que a medida que x se mueve hacia ∞ o –∞, la curva se acerca más a la recta = 4.

Una función racional tendrá asíntota horizontal cuando cumpla con alguno de los siguientes casos:

$$f(x)=\frac{R(x)}{S(x)}=\frac{a_{n}x^{n}+a_{n-1}x^{n-1}+…+a_{1}x+a_{0}}{b_{m}x^{m}+b_{m-1}x^{m-1}+…+b_{1}x+b_{0}}$$

Caso # 1: Cuando el grado del numerador < grado del denominador.

En este caso, cuando 𝑥 → ± ∞,  𝑓 ( 𝑥 ) → 0

Así que la asíntota es horizontal es la recta:

$$y=0$$

Caso # 2: Cuando el grado del numerador = grado del denominador.

La asíntota horizontal es la razón entre los coeficientes principales.

$$y=\frac{a_{n}}{b_{n}}$$

Asíntotas oblicuas

Es una recta imaginaria de la forma mx + b m ≠ 0 ) donde la curva de la función se aproxima a medida que los valores de x se hacen muy grandes o muy pequeños ( ±).

A diferencia de las asíntotas horizontales, que indica que la función se estabiliza en un valor constante, la asíntota oblicua describe el comportamiento a largo plazo en el que la función crece o decrece indefinidamente, llevando una trayectoria diagonal o inclinada.

Como ocurre con las asíntotas horizontales la curva de la función puede cruzar su asíntota oblicua en algún punto.

Identificar la asíntota oblicua en una función racional es muy fácil sólo debe cumplir que:

$$f(x)=\frac{R(x)}{S(x)}=\frac{ax^{n+1}}{bx}$$

Para obtener la asíntota debes dividir el polinomio del numerador entre el polinomio del denominador siendo el cociente la asíntota oblicua.

Intersecciones con los ejes

Los puntos donde la función cruza el eje x (raíces) y el eje y.

Comportamiento cerca de la asíntota vertical

Para conocer el comportamiento de la función a medida que se acerca a sus asíntotas verticales.

Comportamiento a largo plazo

Es el estudio de los límites de la función, lo cual permite conocer hacia dónde tiende la gráfica cuando 𝑥 crece sin límite o disminuye indefinidamente.

Rango

El rango es el conjunto de todos los valores de “y” que la función puede tomar.

Tabla de valores

Con algunos puntos estratégicos permite graficar la función, ayudando a verificar el comportamiento que se ha analizado teóricamente.


Ejercicios racionales resueltos 

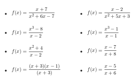
A continuación, te presento 10 ejercicios de funciones racionales resueltos paso a paso. En cada uno, podrás ver la aplicación de los conceptos anteriores, como el cálculo del dominio, la identificación de asíntotas, el análisis de su comportamiento para comprender la forma de la gráfica, entre otros.


Ejercicio 1

$$f(x)=\frac{1}{x-3}$$


Solución

1. Dominio

El denominador es x, y debe ser distinto a cero:

$$x-3≠0 ⇒ x≠3$$

Como el denominador es diferente a 3, el dominio es:

$$\boxed{D_{f}=(-\infty,3 )\cup (3,\infty )}$$


2. Intersecciones

  • Eje «x» y = 0

$$0=\frac{1}{x-3}\Rightarrow 0\neq 1$$

No tiene solución.

No hay intersección con el eje X

  • Eje «y» x = 0

$$y=\frac{1}{0-3}$$

$$y=-\frac{1}{3}$$

$$\boxed{A\left ( 0,-\frac{1}{3} \right )}$$


3. Cálculo de las asíntotas

Esta función posee dos asíntotas ellas son:

Vertical

$$x-3=0$$

$$\boxed{x=3}$$

Horizontal

Se cumple que: n < m

Posee una asíntota horizontal en el eje “x”

$$\boxed{y=0}$$

Oblicua

No existe asíntota oblicua.


4. Comportamiento cerca de la asíntota vertical

$$\boxed{x=3}$$

Valores por la izquierda

$$x=2,9 \Rightarrow f(2,9)=\frac{1}{2,9-3}=-10$$

$$x=2,99 \Rightarrow f(2,99)=\frac{1}{2,99-3}=-100$$

Entonces,

$$x\to 3^{-} f(x)\to-\infty$$

Conclusión: Al acercarse por la izquierda a 3, la función crece negativamente.

Valores por la derecha

$$x=3,01 \Rightarrow f(3,01)=\frac{1}{3,01-3}=100$$
$$x=3,001 \Rightarrow f(3,001)=\frac{1}{3,001-3}=1000$$

Entonces,

$$x\to 3^{+} f(x)\to+\infty$$

Conclusión: Al acercarse por la derecha a 3, la función crece positivamente.


5. Comportamiento a largo plazo

Valores por la izquierda

$$f(-100)=\frac{1}{-100-3}\approx-0,0097$$

$$f(-1000)=\frac{1}{-1000-3}\approx-0,00099$$

Conclusión: Al reemplazar valores negativos cada vez más pequeños, la función se acerca a 0

$$f(x)\to  0 $$

Valores por la derecha

$$f(-100)=\frac{1}{-100-3}\approx-0,010$$

$$f(-1000)=\frac{1}{-1000-3}\approx-0,001$$

Conclusión: Al sustituir valores positivos cada vez mucho mayor, la función se acerca a 0

$$f(x)\to 0 $$


6. Cálculo del rango

$$y=\frac{1}{x-3}\Rightarrow y(x-3)=1$$

$$yx-3y=1$$

$$x=\frac{1+3y}{y}$$

$$\boxed{\mathbb{R}_{f}=\left ( -\infty,0  \right )\cup \left ( 0,\infty  \right )}$$


Gráfica

Resumen

Función: \( f(x) = \frac{1}{x – 3} \)

  • Dominio: \( D_{f}=(-\infty,3)\cup(3,\infty) \)
  • Intersección con el eje Y: \( (0,\ -\frac{1}{3}) \)
  • Intersección con el eje X: No existe.
  • Asíntota vertical (AV): \( x = 3 \)
  • Asíntota horizontal (AH): \( y = 0 \)
  • Asíntota oblícua (AO): No existe.
  • Comportamiento cerca de la AV:
    • \( \lim_{x \to 3^-} f(x) = -\infty \)
    • \( \lim_{x \to 3^+} f(x) = +\infty \)
  • Comportamiento a largo plazo:
    • \( \lim_{x \to +\infty} f(x) = 0^+ \)
    • \( \lim_{x \to -\infty} f(x) = 0^- \)
  • Rango: \( R_{f}=(-\infty,0)\cup(0,\infty) \)

Ejercicio 2

$$f(x)=\frac{x}{x+2}$$


1. Dominio

El denominador debe ser diferente de cero.

$$x+2≠0 ⇒ x≠-2$$

Se realiza un estudio del signo de la función:

Numerador:

$$x=0$$

Denominador:

$$x=-2$$

IntervaloValorSigno
$$\left ( -\infty , -2 \right )$$-3+
$$\left ( -2 , 0 \right )$$1
$$\left ( 0, \infty \right )$$1+

Entonces, el dominio es:

$$\boxed{\mathbb{D}_{f}=\left ( -\infty,-2  \right )\cup \left ( -2,\infty  \right )}$$


2. Intersecciones

  • Eje «x» y = 0

$$0=\frac{x}{x+2}\Rightarrow x=0$$

$$\boxed{A(0,0)}$$

  • Eje «y» x = 0

$$y=\frac{0}{0+2}$$

$$y=0$$

$$\boxed{B(0,0)}$$


3. Cálculo de las asíntotas

Esta función posee dos asíntotas ellas son:

Vertical

$$x+2=0$$

$$\boxed{x=-2}$$

Horizontal

Se cumple que:

n = m, la función posee una asíntota horizontal y es la recta horizontal

$$\boxed{y=1}$$

Oblicua

No existe asíntota oblicua.


4. Comportamiento cerca de la asíntota vertical

$$\boxed{x=-2}$$

Valores por la izquierda

$$x=-2,1 \Rightarrow f(-2,1)=\frac{-2,1}{-2,1+2}=21$$
$$x=-2,01 \Rightarrow f(-2,01)=\frac{-2,01}{-2,01+2}=201$$

Entonces,

$$x\to -2^{-} f(x)\to\infty$$

Conclusión: Al aproximarse por la izquierda a -2, la función crece positivamente.

Valores por la derecha

$$x=-1,9 \Rightarrow f(-1,9)=\frac{-1,9}{-1,09+2}=-19$$
$$x=-1,99 \Rightarrow f(-1,99)=\frac{-1,99}{-1,99+2}=-199$$

Entonces,

$$x\to -2^{+} f(x)\to-\infty$$

Conclusión: Al aproximarse por la derecha a -2, la función disminuye negativamente.


5. Comportamiento a largo plazo

Valores por la izquierda

$$f(-100)=\frac{-100}{-100+2}\approx1,0204$$

$$f(-1000)=\frac{-1000}{-1000+2}\approx1,002$$

Conclusión: Al reemplazar valores negativos cada vez más pequeños, la función se acerca a 1

$$f(x)\to  1 $$

Valores por la derecha

$$f(100)=\frac{100}{100+2}\approx0,980$$

$$f(1000)=\frac{1000}{1000+2}\approx0,998$$

Conclusión: Al dar valores positivos cada vez mucho mayor, la función se acerca a 1

$$f(x)\to 1 $$


6. Cálculo del rango

$$y=\frac{x}{x+2}\Rightarrow y(x+2)=x$$

$$yx+2y=x$$

$$yx-x=-2y$$

$$x(y-1)=-2y$$

$$x=\frac{-2y}{y-1}$$

$$y≠1$$

$$\boxed{\mathbb{R}_{f}=\left ( -\infty,1  \right )\cup \left ( 1,\infty  \right )}$$


Resumen

Función: \( f(x) = \frac{x}{x + 2} \)

  • Dominio: \( D_{f}=(-\infty,-2)\cup(-2,\infty) \)
  • Intersección con el eje X: \( (0,\ 0) \)
  • Intersección con el eje Y: \( (0,\ 0) \)
  • Asíntota vertical (AV): \( x = -2 \)
  • Asíntota horizontal (AH): \( y = 1 \)
  • Comportamiento cerca de la AV:
    • \( \lim_{x \to -2^-} f(x) = \infty \)
    • \( \lim_{x \to -2^+} f(x) = -\infty \)
  • Comportamiento a largo plazo:
    • \( \lim_{x \to +\infty} f(x) = 1^- \)
    • \( \lim_{x \to -\infty} f(x) = 1^+ \)
  • Rango: \( R_{f}=(-\infty,1)\cup(1,\infty) \)

Gráfica

Ejercicio 3

$$\text{Sea } f(x) = \frac{2x + 1}{x – 4}$$


Solución:

El denominador debe ser diferente de cero

$$x-4\neq 0\Rightarrow x\neq 4$$

Estudio del signo de la función

Numerador:

$$2x+1=0\Rightarrow -\frac{1}{2}$$

Denominador:

$$x=4$$


Dominio

$$D_{f}=(-\infty ,4)\cup (4,\infty )$$


Intersecciones

Con el eje “x”  y = 0

$$0=\frac{2x+1}{x-4}\Rightarrow x=-\frac{1}{2}$$

$$A\left ( -\frac{1}{2},0 \right )$$

Con el eje “y”  x = 0

$$y=\frac{2\cdot 0+1}{0-4}\Rightarrow y=-\frac{1}{4}$$

$$y=-\frac{1}{4}$$

$$B\left ( 0,-\frac{1}{4} \right )$$


Asíntotas

Vertical: 

$$x-4=0$$
$$x=4$$

Horizontal:

Posee una asíntota horizontal y es la recta:

$$y=2$$

Oblicua:

No existe.


Comportamiento cerca de la asíntota vertical

$$x=4$$


Comportamiento a largo plazo


Rango

$$y=\frac{2x+1}{x-4}\Rightarrow y(x-4)=2x+1$$

$$yx-4y-2x=1$$

$$x(y-2)=1+4y$$

$$x=\frac{1+4y}{y-2}$$

$$y\neq 2$$

$$R_{f}=(-\infty,2)\cup(2,\infty)$$


Gráfica

Resumen

Función: \( f(x) = \frac{2x+1}{x – 4} \)

  • Dominio: \( D_{f}=(-\infty,4)\cup(4,\infty) \)
  • Intersección con el eje X: \( (-1/2,\ 0) \)
  • Intersección con el eje Y: \( (0,\ -1/4) \)
  • Asíntota vertical (AV): \( x = 4 \)
  • Asíntota horizontal (AH): \( y = 2 \)
  • Comportamiento cerca de la AV:
    • \( \lim_{x \to 4^-} f(x) = -\infty \)
    • \( \lim_{x \to 4^+} f(x) = +\infty \)
  • Comportamiento a largo plazo:
    • \( \lim_{x \to +\infty} f(x) = 2^+ \)
    • \( \lim_{x \to -\infty} f(x) = 2^- \)
  • Rango: \( R_{f}=(-\infty,2)\cup(2,\infty) \)

Ejercicio 4

$$\text{Sea } f(x) = \frac{x^2}{x – 1}$$


Solución:

El denominador debe ser diferente de cero

$$x-1\neq 0\Rightarrow x\neq 1$$

Estudio del signo de la función

Numerador:

$$x^{2}=0\Rightarrow x=0$$

Denominador:

$$x=1$$


Dominio

$$D_{f}=\left ( -\infty ,1 \right )\cup \left ( 1,\infty \right )$$


Intersecciones

En el eje “x” ( y = 0)

$$y=\frac{x^{2}}{x-1}\Rightarrow x=0$$

$$A(0,0)$$

Eje “y”  ( x = 0)

$$y=\frac{0^{2}}{0-1}\Rightarrow y=0$$

$$B(0,0)$$


Asíntotas

Vertical: 

$$x-1=0$$

$$x=1$$

Horizontal:

No posee asíntota horizontal.

Oblicua:

Cumple con la condición, por tanto posee asíntota oblicua.

Dividir el polinomio del numerador entre el denominador:

$$x^{2}\div x-1=x+1$$

La asíntota oblicua es:

$$y=x+1$$


Comportamiento cerca de la asíntota vertical


Comportamiento a largo plazo


Rango

$$y=\frac{x^{2}}{x-1}\Rightarrow y(x-1)=x^{2}$$

$$yx-y=x^{2}$$

$$x^{2}-yx+y=0$$

$$\Delta =b^{2}-4ac\geq 0$$

Donde:

a = 1 ; b = -y ; c = y

$$\Delta =(-y)^{2}-4(1)(y)=y^{2}-4y$$

$$y^{2}-4y\geq 0$$

$$y(y-4)\geq 0$$

Entonces:

y = 0 

y = 4

$$R_{f}=(-\infty ,0]\cup [4,\infty )$$


Gráfica

Resumen

Función: \( f(x) = \frac{2x+1}{x – 4} \)

  • Dominio: \( D_{f}=(-\infty,1)\cup(1,\infty) \)
  • Intersección con el eje X: \( A(0,\ 0) \)
  • Intersección con el eje Y: \( B(0,\ 0) \)
  • Asíntota vertical (AV): \( x = 1 \)
  • Asíntota horizontal (AH): No tiene.
  • Asíntota oblicua (AO): \(y = x+1 \)
  • Comportamiento cerca de la AV:
    • \( \lim_{x \to 1^-} f(x) = -\infty \)
    • \( \lim_{x \to 1^+} f(x) = +\infty \)
  • Comportamiento a largo plazo:
    • \( \lim_{x \to +\infty} f(x) = \infty \)
    • \( \lim_{x \to -\infty} f(x) = \infty \)
  • Rango: \( R_{f}=(-\infty,0]\cup[4,\infty) \)


Ejercicio 5

$$f(x) = \frac{x-5}{x^{2} – 25}$$


Solución

Factorización y simplificación 

$$f(x)=\frac{x-5}{x^{2}-25}=\frac{x-5}{(x-5)(x+5)}=\frac{1}{x+5}$$

$$f(x)=\frac{1}{x+5}$$

Posee una discontinuidad removible en: x = 5


Coordenadas del hueco

$$f(5)=\frac{1}{5+5}=\frac{1}{10}$$

$$H\left ( 5,\frac{1}{10} \right )$$


Dominio

El denominador debe ser diferente de cero

$$x+5\neq 0\Rightarrow x\neq -5$$

$$D_{f}=(-\infty ,-5)\cup (-5,\infty )$$


Intersecciones

Eje “x”   ( y = 0 )

$$0=\frac{1}{x+5}\Rightarrow 0\neq 1$$

No existe intersecciones con el eje “x”

Eje “y”   ( x = 0 )

$$y=\frac{1}{0+5}$$

$$y=\frac{1}{5}$$

$$A\left ( 0,\frac{1}{5} \right )$$


Asíntotas

Vertical:

$$x+5=0$$

$$x=-5$$

Horizontal:

$$y=0$$

Oblicua:

No existe, no cumple con la condición.


Comportamiento cerca de la asíntota vertical


Comportamiento a largo plazo

$$f(x)\to 0$$


Rango

$$y=\frac{1}{x+5}\Rightarrow y(x+5)=1$$
$$yx+5y=1$$
$$x=\frac{1-5y}{y}$$
$$y\neq 0$$
$$R_{f}=(-\infty ,0)\cup (0,\infty )$$


Gráfica

Resumen

Función: \( f(x) = \frac{x-5}{x^{2} – 25} \)

  • Dominio: \( D_{f}=(-\infty,-5)\cup(-5,\infty) \)
  • Intersección con el eje X: No existe.
  • Intersección con el eje Y: A\( (0,\ 1/5) \)
  • Asíntota vertical (AV): \( x = -5 \)
  • Asíntota horizontal (AH): y = 0
  • Asíntota oblicua (AO): No existe.
  • Comportamiento cerca de la AV:
    • \( \lim_{x \to -5^-} f(x) = -\infty \)
    • \( \lim_{x \to -5^+} f(x) = +\infty \)
  • Comportamiento a largo plazo:
    • \( f(x) \to 0 \)
  • Rango: \( R_{f}=(-\infty,0)\cup(0,\infty) \)

Ejercicio 6

$$f(x) = \frac{x+1}{x^{2} -3x+2}$$


Solución:

Factorización y simplificación

$$f(x)=\frac{x+1}{x^{2}+3x+2}$$

$$f(x)=\frac{x+1}{(x+1)(x+2)}$$

$$f(x)=\frac{1}{x+2}$$

Posee una discontinuidad removible en: x = -1


Coordenadas del hueco

$$f(-1)=\frac{1}{-1+2}=1$$

$$H\left ( -1,1 \right )$$


Dominio

El denominador debe ser ≠ de cero.

$$x+2\neq 0\Rightarrow x\neq -2$$

$$D_{f}=(-\infty ,-2)\cup (-2,\infty )$$


Intersecciones

Eje “x”   ( y = 0 )

$$0=\frac{1}{x+2}\Rightarrow 0\neq 1$$

No existe intersecciones con el eje “x”

Eje “y”   ( x = 0 )

$$y=\frac{1}{0+2}$$

$$y=\frac{1}{2}$$

$$A\left ( 0,\frac{1}{2} \right )$$


Asíntotas

Vertical:

$$x+2=0$$

$$x=-2$$

Horizontal:

$$y=0$$

Oblicua:

No existe, no cumple con la condición.


Comportamiento cerca de la asíntota vertical

Asíntota vertical:

$$x=2$$


Comportamiento a largo plazo

$$f(x)\to0$$


Rango

$$f(x)=\frac{1}{x+2}\Rightarrow y(x+2)=1$$
$$yx+2y=1$$
$$x=\frac{1-2y}{y}$$
$$y\neq 0$$
$$R_{f}=(-\infty ,0)\cup (0,\infty )$$


Gráfica

Resumen

Función: \( f(x) = \frac{x+1}{x^{2} +3x+2} \)

  • Dominio: \( D_{f}=(-\infty,-2)\cup(-2,\infty) \)
  • Intersección con el eje X: No existe.
  • Intersección con el eje Y: A\( (0,\ 1/2) \)
  • Asíntota vertical (AV): \( x = -2 \)
  • Asíntota horizontal (AH): y = 0
  • Asíntota oblicua (AO): No existe.
  • Comportamiento cerca de la AV:
    • \( \lim_{x \to -2^-} f(x) = -\infty \)
    • \( \lim_{x \to -2^+} f(x) = +\infty \)
  • Comportamiento a largo plazo:
    • \( f(x) \to 0 \)
  • Rango: \( R_{f}=(-\infty,0)\cup(0,\infty) \)

Ejercicio 7

$$f(x) = \frac{x^{2}-4}{x+2}$$


Solución:

Paso 1: Identificar posibles restricciones

El denominador no puede ser cero.

$$x+2=0\Rightarrow x=-2$$


Paso 2: Factorizar y simplificar

El numerador es una diferencia de cuadrados:

$$f(x)=\frac{x^{2}-4}{x+2}=\frac{(x-2)(x+2)}{(x+2)}$$

$$f(x)=x-2$$

Solo cuando $$x \neq -2$$

Entonces la función:

$$f(x)=x-2$$

Es una función lineal, pero con un hueco (discontinuidad removible) en x = -2


Paso 3: Coordenadas del hueco:

$$f(-2)=-2-2=-4$$

$$H\left ( -2,-4 \right )$$


Paso 4: Dominio

$$D_{f}=R-{-2}$$

Porque en x = -2 el denominador se anula y la función no está definida.


Paso 5: Intersecciones

Eje “x”   ( y = 0 )

$$0=x-2\Rightarrow x=2$$

$$A( 2,0 )$$

Eje “y”   ( x = 0 )

$$f(x)=0-2$$

$$y=-2$$

$$B(0,-2)$$


Paso 6: Asíntotas

Vertical:

No hay asíntota vertical, sino un hueco (discontinuidad removible) en x = -2

Horizontal:

Cuando el grado del numerador es mayor que el denominador, no hay asíntota horizontal.

Oblicua:

Si el grado del numerador es exactamente uno más que el denominador, existe una asíntota oblicua, esto quiere decir que sí existe una asíntota oblicua.

La función se comporta como una recta: $$y=x-2$$

Entonces, la función obtenida coincide con su asíntota oblicua en: $$y=x-2$$


Paso 7: Comportamiento cerca de la asíntota vertical

Como no existe asíntota vertical sino un hueco (discontinuidad removible) en x = -2, el comportamiento cerca de x = -2 no es de crecer a ±∞ sino que la recta se aproxima al punto (-2,-4) sin llegar a alcanzarlo.


Paso 8: Comportamiento a largo plazo

A largo plazo ( x → ±∞ ), la función tiende a su asíntota oblicua porque la diferencia entre ambas desaparece cuando crece o decrece; en consecuencia, f(x) se comporta igual que la recta y = x -2.


Paso 9: Rango

Se realiza el despeje en la función dada:

$$y = \frac{x^2 – 4}{x+2}\Rightarrow$$
$$yx + 2y = x^2 – 4$$
$$x^2 – yx – (2y+4) = 0$$

Esta es una ecuación cuadrática en x, cuyo discriminante es:

$$\Delta = (-y)^2 – 4(1)(-(2y+4))$$
$$\Delta =y^2 + 8y + 16$$
$$\Delta = (y+4)^2$$

Observación:

Si el discriminante es:

Como el Δ calculado es:

$$\Delta =(y+4)^2$$

Y una expresión al cuadrado nunca es negativo, se concluye que:

$$(y+4)^2 \geq 0$$

Para todo y, por lo que siempre hay raíces reales o una doble raíz. Pero en este caso y = -4 donde el Δ = 0 y la única raíz es x = -2, que está excluida del dominio.

Por lo tanto el rango es:


Gráfica

Resumen

Función: \( f(x) = \frac{x^{2}-4}{x+2} \)

  • Dominio: \( D_f = \mathbb{R} – \{2\} \)
  • Intersección con el eje X: A\( (2,\ 0) \)
  • Intersección con el eje Y: B\( (0,\ -2) \)
  • Asíntota vertical (AV): No existe.
  • Asíntota horizontal (AH): No existe.
  • Asíntota oblicua (AO): \( y= x-2 \)
  • Comportamiento cerca de la AV: No hay A.V. existe un hueco.
    • \( \lim_{x \to -2^-} f(x) = -4 \)
    • \( \lim_{x \to -2^+} f(x) = -4 \)
      La recta se aproxima al punto (-2, -4) desde ambos lados, pero como x = -2 no pertenece al dominio, la función nunca llega a incluirlo.
  • Comportamiento a largo plazo:
    • La función tiende a su asíntota oblicua.
  • Rango: \( R_f = \mathbb{R} – \{-4\} \)

Ejercicio 8

$$f(x) = \frac{3x^{2} + 2x-1}{x^{2} – 1}$$


Solución:

Paso 1: Factorizar simplificar y coordenadas del hueco

El numerador es una diferencia de cuadrados:

$$f(x) = \frac{3x^{2} + 2x-1}{x^{2} – 1}$$

$$f(x)=\frac{(3x-1)(x+1)}{(x+1)(x-1)}$$

$$f(x)=\frac{3x-1}{x-1}$$

Posee una discontinuidad removible en x = -1

Se reemplaza en valor de x = -1 determinar las coordenadas del hueco.

$$f(x)=\frac{3\cdot (-1)-1}{(-1)-1}=2$$

Coordenadas del hueco: $$H(-1,2)$$


Paso 2: Identificar posibles restricciones

El denominador debe ser distinto a cero.

$$x-1\neq 0\Rightarrow x\neq 1$$


Paso 3: Estudio del signo de la función:

Numerador:

$$3x-1=0\Rightarrow x=\frac{1}{3}$$

Denominador:

$$x=1$$


Dominio

$$D_{f}=(-\infty ,1)\cup (1,\infty )$$


Intersecciones

Con el eje “x”  y = 0

$$0=\frac{3x-1}{x-1}\Rightarrow x=\frac{1}{3}$$
$$A\left ( \frac{1}{3},0 \right )$$

Con el eje “y”  x = 0

$$y=\frac{3\cdot 0-1}{0-1}\Rightarrow y=1$$
$$B(0,1)$$


Asíntotas

Vertical: 

$$x-1=0$$
$$x=1$$

Horizontal:

Posee una asíntota horizontal y es la recta:

$$y=3$$

Oblicua:

No existe.


Comportamiento cerca de la asíntota vertical


Comportamiento a largo plazo


Rango

$$y= \frac{3x^{2} + 2x-1}{x^{2} – 1}$$
$$y(x^{2}-1)=3x^{2}+2x-1$$
$$yx^{2}-y=3x^{2}+2x-1$$
$$yx^{2}-3x^{2}-2x-y+1=0$$
$$(y-3)x^{2}-2x-(y-1)=0$$

Discriminante (Δ)

a = y – 3;  b = -2;  c = -( y – 1 )

$$\Delta =b^{2}-4ac$$
$$\Delta =(-2)^{2}-4(y-3)(-(y-1))$$
$$\Delta =4+4(y-3)(y-1)$$
$$\Delta =4+4(y^{2}-4y+3)$$
$$\Delta =4y^{2}-16y+16$$
$$\Delta =4(y^{2}-4y+4)$$
$$\Delta =4(y-2)^{2}$$

En la ecuación cuadrática

$$(y-3)x^{2}-2x-(y-1)=0$$

$$ax^{2}+bx+c=0$$

El coeficiente de x2 es  a= y – 3

Si y = 3, a = 0. Esto quiere decir que ya no es una cuadrática, sino una ecuación lineal en x:

$$-2x-(3-1)=-2x-2=0$$

$$x=-1$$

Pero x = -1 está prohibido en el dominio porque x– 1 = 0. Por lo tanto y = 3 no pertenece al rango.


Gráfica

Resumen

Función: \( f(x) = \frac{3x^{2} + 2x-1}{x^{2} – 1} \)

  • Dominio: \( D_{f}=(-\infty ,1)\cup (1,\infty ) \)
  • Intersección con el eje X: A\( (1/3,\ 0) \)
  • Intersección con el eje Y: B\( (0,\ 1) \)
  • Asíntota vertical (AV): \( x= 1 \)
  • Asíntota horizontal (AH): \( y= 3 \)
  • Asíntota oblicua (AO): No existe.
  • Comportamiento cerca de la AV: 
    • \( \lim_{x \to 1^-} f(x) = – \infty\)
    • \( \lim_{x \to 1^+} f(x) = \infty \)
  • Comportamiento a largo plazo:
    • \( \lim_{x \to +\infty} f(x) = 3^+ \)
    • \( \lim_{x \to -\infty} f(x) = 3^- \)
  • Rango: \( R_f = \mathbb{R} – \{3\} \)

Ejercicio 9

$$\text{Sea } f(x) = \frac{4}{x^{2} + 1}$$


Solución

Dominio

$$D_{f}=\mathbb{R}$$


Intersecciones

Con el eje “x”  y = 0

$$0=\frac{4}{x^{2}+1}\Rightarrow 0\neq 4$$

No hay intersección con el eje “x”

Con el eje “y”  x = 0

$$y=\frac{4}{0^{2}+1}\Rightarrow y=4$$
$$A(0,4)$$

Asíntotas

Vertical: 

No existe, ya que el denominador no se hace cero.

Horizontal:

$$y=0$$

Oblicua:

No existe.


Comportamiento cerca de una asíntota vertical

No existe asíntotas verticales ni huecos, la función está definida y es continua en todo R.


Comportamiento a largo plazo x → ±∞ )

$$f(x)\rightarrow 0$$


Rango

$$y=\frac{4}{x^{2}+1}$$
$$y(x^{2}+1)=4$$
$$x^{2}=\frac{4-y}{y}$$

Como x≥0, se cumple que:
$$\frac{4-y}{y}\geq 0$$

Numerador: 4 – y ≥ 0    ⇒    y ≤ 4.

Denominador: > 0  (porque está en el denominador original y además  y = 0 no es posible, pues sería:

$$x^{2}+1=\infty $$

Entonces:

$$0< y\leq 4$$

$$R_{f}=(0,4]$$


Gráfica

Resumen

Función: \( f(x) = \frac{4}{x^{2} + 1} \)

  • Dominio: \( D_{f}=\mathbb{R} \)
  • Intersección con el eje X: No existe.
  • Intersección con el eje Y: A\( (0,\ 4) \)
  • Asíntota vertical (AV): No existe.
  • Asíntota horizontal (AH): \( y= 0 \)
  • Asíntota oblicua (AO): No existe.
  • Comportamiento cerca de la AV: 
    • No existe asíntotas verticales ni huecos.
  • Comportamiento a largo plazo:
    • \( f(x)\to0 \)
  • Rango: \( R_{f}=(0,4] \)

Ejercicio 10

$$f(x) = \frac{x^{2}+x-6}{x + 3}$$


Solución

Paso 1: Factorizar y simplificar

$$f(x) = \frac{x^{2}+x-6}{x + 3}=\frac{(x-2)(x+3)}{x+3}$$

$$f(x)=x-2$$

Solo cuando $$x \neq -3$$

Entonces la función:

$$f(x)=x-2$$

Es una función lineal, pero con un hueco (discontinuidad removible) en x = -3


Paso 2: Coordenadas del hueco

$$f(-3)=-3-2=-5$$

$$H=\left ( -3,-5 \right )$$


Paso 3: Dominio


Paso 4: Intersecciones

Eje “x”   ( y = 0 )

$$0=x-2\Rightarrow x=2$$

$$A( 2,0 )$$

Eje “y”   ( x = 0 )

$$f(x)=0-2$$

$$y=-2$$

$$B(0,-2)$$


Paso 5: Asíntotas

Vertical:

No existe asíntota vertical, sino un hueco (discontinuidad removible) en x = -2

Horizontal:

No cumple con la condición, por tanto no existe asíntota horizontal.

Oblicua:

El grado del numerador es uno más que el denominador, entonces existe una asíntota oblicua que también coincide con la función.


Paso 6: Rango

$$y=\frac{x^{2}+x-6}{x+3}$$
$$y(x+3)=x^{2}+x-6$$
$$yx+3y=x^{2}+x-6$$
$$x^{2}+(1-y)x-(6+3y)=0$$

Discriminante

$$\Delta =(1-y)^{2}-4\cdot 1\cdot (-(6+3y))$$
$$\Delta =(1-y)^{2}+4(6+3y)$$
$$\Delta =y^{2}+10y$$
$$\Delta =(y+5)^{2}$$

Hay soluciones para todo y

$$(y+5)^{2}\geq 0$$

Única exclusión cuando Δ=0

$$y=-5$$

Al reemplazar este valor en la ecuación cuadrática

$$x^{2}+(1-y)x-(6+3y)=0$$

$$x^{2}+(1-(-5))x-(6+3(-5))=0$$

$$x^{2}+6x+9=0$$

Al resolver:

x = -3, pero este valor no pertenece al dominio, porque anula el denominador original.

Entonces el rango es:


Gráfica

Resumen

Función: \(f(x) = \frac{x^{2}+x-6}{x + 3} \)

  • Dominio: \( D_f = \mathbb{R} – \{-3\} \)
  • Intersección con el eje X: A\( (2,\ 0) \)
  • Intersección con el eje Y: B\( (0,\ -2) \)
  • Asíntota vertical (AV): No existe.
  • Asíntota horizontal (AH): No existe.
  • Asíntota oblicua (AO): \( y= x-2 \)
  • Comportamiento cerca de la AV: No hay A.V. existe un hueco.
    • \( \lim_{x \to -3^-} f(x) = -5 \)
    • \( \lim_{x \to -3^+} f(x) = -5 \)
      La recta se aproxima al punto (-3, -5) desde ambos lados, pero como x = -3 no pertenece al dominio, la función nunca llega a incluirlo.
  • Comportamiento a largo plazo:
    • La función tiende a su asíntota oblicua.
  • Rango: \( R_f = \mathbb{R} – \{-5\} \)

¿Quieres practicar más con un tutor?

Podemos preparar una sesión personalizada con ejercicios guiados, resolución paso a paso y seguimiento del progreso.

Solicita una tutoría

 


 

Derivadas por definición: explicación fácil

Derivadas por definición

David y su lancha derivadaSi estás buscando una explicación fácil de derivadas por definición has llegado al lugar correcto. Comencemos con el siguiente ejemplo de la vida diaria: David tiene una lancha, y un compañero de clase desarrolló una función matemática que describe la posición de su nave en función al tiempo.

La expresión conseguida es:  f(t) = 4t 2 + 3t +1, donde  “f” es la posición en unidades de metros y “t” es el tiempo en unidades de segundos. Esta función permite modelar con una alta precisión el movimiento de su máquina.

Posteriormente derivó la función con la finalidad de obtener la velocidad para cualquier instante de tiempo, obteniendo :

f´(t) = 8t + 3. Con esta invención David está feliz ya que puede conocer la velocidad de su lancha para cualquier instante de tiempo.


Definición

La derivada  f´( x ), es el límite de la razón del incremento de la función “ ∆y  ” es al incremento de la variable independiente “ ∆x ”, cuando éste tiende a cero.

$$
f'(x)=\displaystyle \lim_{\Delta x \to 0}\frac{\Delta _{y}}{\Delta {x}}
$$

 

$$
f'(x)=\displaystyle \lim_{ \Delta x\to 0}\frac{f(x+\Delta x)-f(x)}{\Delta x}
$$


Aspectos fundamentales que deben ser considerados

Los aspectos fundamentales que debes tener presente es una serie de características que ayudan a la interpretación geométrica de la derivada, partiendo desde aquí vas a tener una idea más clara para el desarrollo de las derivadas por definición.

Primero te muestro una imagen con estas características y segundo te doy un breve resumen de cada una de ellas.

Grafica interpretación de derivadaResumen:

I.A(x, f(x)) es el punto amarillo
II.B((x + ∆x), f (x + ∆x)) es el punto azul.
III.B se desplaza hasta el punto A.
IV.El incremento de la variable independiente tiende a cero ∆x 0.
V.El incremento de la función tiende a cero ∆y 0.
VI.El incremento de la función es la diferencia de ambos puntos (coordenadas “ y “).

 $$\Delta y=y_{2}-y_{1}=f(x+\Delta x)-f(x)$$


Pasos para derivar

Al derivar por definición es recomendable considerar cinco pasos, léelo con mucha atención para que lo apliques sin dificultad.

I. Escribir la fórmula de la derivada por definición.

$$
f'(x) = \displaystyle \lim_{\Delta x \to 0}
\frac{f({\color{red}{x+\Delta x}}) – f(x)}{\Delta x}
$$

II. Identificar cada punto del incremento de la función, comenzando con el siguiente ejemplo:

$$f(x)=2x^{3}+x+3$$

Donde cada punto sustituido en la función queda así:

$$
f\bigl(\color{red}{x+\Delta x}\bigr)
= 2\bigl(\color{red}{x+\Delta x}\bigr)^{3}
+ \bigl(\color{red}{x+\Delta x}\bigr) + 3
$$

$$f(x)=2x^{3}+x+3$$

III. Sustitución y operación en la fórmula de la derivada por definición.

$$f({\color{Red}{x+\Delta x}})$$
$$f(x)$$

Continuación del ejemplo.

$$
f'(x) = \displaystyle \lim_{\Delta x \to 0}
\frac{2(\color{red}{x+\Delta x})^{3} + (\color{red}{x+\Delta x}) + 3 – (2x^{3} + x + 3)}{\Delta x}
$$

IV. Evaluación del límite.

$$f{‘}(x)=\displaystyle \lim_{\Delta x \to 0}6x^{2}+6x\Delta x+2\Delta x^{2}+1=6x^{2}+6x\cdot 0+2\cdot 0^{2}+1=6x^{2}+1$$

V. Valor de la derivada

$$f{‘}(x)=6x^{2}+1$$


Ejercicios resueltos aplicando derivadas por definición

Aquí tienes seis funciones, cada una de ellas son derivadas cumpliendo los cuatros visto anteriormente.

Ejemplo # 1: Derivar la función

$$f(x)=x^{2}$$

Paso #1. Fórmula.

$$
f'(x) = \displaystyle \lim_{\Delta x \to 0}
\frac{f({\color{red}{x+\Delta x}}) – f(x)}{\Delta x}
$$

Paso #2. Identificar.

$$
f\bigl(\color{red}{x+\Delta x}\bigr)
= \bigl(\color{red}{x+\Delta x}\bigr)^{2}$$
$$f(x)=x^{2}$$

Paso #3. Sustitución y operación.

$$
f'(x) = \lim_{\Delta x \to 0}
\frac{({\color{red}{x+\Delta x}})^2 – x^2}{\Delta x}
= \frac{\not{x^2} + 2x\Delta x + (\Delta x)^2 – \not{x^2}}{\Delta x}
= \frac{2x\Delta x + (\Delta x)^2}{\Delta x}
= \frac{\not{\Delta x}(2x + \Delta x)}{\not{\Delta x}} = 2x + \Delta x
$$

 

Paso #4. Evaluación del límite.

$$
f'(x)=\lim_{\Delta x \to 0}(2x+\Delta x)=2x+0=2x
$$

Paso #5. Valor de la derivada.

$$
\begin{aligned}
f'(x)&=
2x
\end{aligned}
$$


Ejemplo # 2: Derivar la siguiente función

$$
f(x)=3-6x
$$

Paso #1. Fórmula.

$$
f'(x) = \displaystyle \lim_{\Delta x \to 0}
\frac{f({\color{red}{x+\Delta x}}) – f(x)}{\Delta x}
$$

Paso #2. Identificar.

$$
f\bigl(\color{red}{x+\Delta x}\bigr)
= 3-6\bigl(\color{red}{x+\Delta x}\bigr)$$

$$
f(x)=3-6x
$$

Paso #3. Sustitución y operación.

$$
f'(x)=\lim_{\Delta x \to 0}\frac{3-6{\color{red}{(x+\Delta x)}}-(3-6x)}{\Delta x}
=\frac{\not{3}-6x-6\Delta x-\not{3}+6x}{\Delta x}
=\frac{-6\not\Delta x}{\not{\Delta x}}=-6
$$

Paso #4. Evaluación del límite.

$$
f'(x)=\displaystyle \lim_{\Delta x \to 0}-6=-6
$$

Paso #5. Valor de la derivada.

$$
f'(x)=-6
$$


III. Ejemplo # 3: Encontrar la derivada de la función

$$
f(x)=4-6x^{2}
$$

Paso #1. Fórmula.

$$
f'(x) = \displaystyle \lim_{\Delta x \to 0}
\frac{f({\color{red}{x+\Delta x}}) – f(x)}{\Delta x}
$$

Paso #2. Identificar.

$$
f({\color{red}{x+\Delta x}}) = 4 – 6({\color{red}{x+\Delta x}})^2
$$

$$
f(x)=4-6x^{2}
$$

Paso #3. Sustitución y operación.

$$
f'(x)=\lim_{\Delta x \to 0}\frac{4-6{\color{red}{(x+\Delta x)}}^{2}-(4-6x^{2})}{\Delta x}
=\frac{4-6(x^{2}+2x\Delta x+(\Delta x)^{2})-(4-6x^{2})}{\Delta x}
=\frac{\not{4}-\not6x^{2}-12x\Delta x-6(\Delta x)^{2}-\not{4}+\not6x^{2}}{\Delta x}
=\frac{-12x\Delta x-6(\Delta x)^{2}}{\not{\Delta x}}
=\frac{-6\not{\Delta x}(2x+\Delta x)}{\not{\Delta x}}
=-6(2x+\Delta x)=-12x-6\Delta x
$$


Paso #4.
Evaluación del límite.

$$
f'(x) = \displaystyle \lim_{\Delta x \to 0} \bigl(-12x – 6\Delta x\bigr) = -12x – 6\cdot 0 = -12x
$$

 

Paso #5. Valor de la derivada.

$$
f'(x)=-12x
$$


IV. Ejemplo # 4: Calcule la derivada por definición de la siguiente función

$$
f(x) = \frac{3x+1}{2}
$$

Paso #1. Fórmula.

$$
f'(x) = \displaystyle \lim_{\Delta x \to 0}
\frac{f({\color{red}{x+\Delta x}}) – f(x)}{\Delta x}
$$

Paso #2. Identificar.

$$
f(\color{red}{x+\Delta x}) = \frac{3(\color{red}{x+\Delta x})+1}{2}
$$

$$
f(x) = \frac{3x+1}{2}
$$

Paso #3. Sustitución y operación.

$$
f'(x)=\lim_{\Delta x \to 0}\frac{\frac{3(\color{red}{x+\Delta x})+1}{2}-\frac{3x+1}{2}}{\Delta x}
=\frac{\frac{3x+3\Delta x+1-\not{3x}-\not{1}}{2}}{\Delta x}
=\frac{\frac{3\Delta x}{2}}{\Delta x}
=\frac{3\not{\Delta x}}{2\not{\Delta x}}=\frac{3}{2}
$$

Paso #4. Evaluación del límite.

$$
f'(x)=\displaystyle \lim_{\Delta x \to 0}\frac{3}{2}=\frac{3}{2}
$$

 

Paso #5. Valor de la derivada.

$$
f'(x)=\frac{3}{2}
$$


V. Ejemplo # 5: Calcular la derivada de la función

$$
f(x) = x^{3}+1
$$

Paso #1. Fórmula.

$$
f'(x) = \displaystyle \lim_{\Delta x \to 0}
\frac{f({\color{red}{x+\Delta x}}) – f(x)}{\Delta x}
$$

Paso #2. Identificar.

$$
f({\color{red}{x+\Delta x}}) = ({\color{red}{x+\Delta x}})^3+1
$$

$$
f(x) = x^{3}+1
$$

Paso #3. Sustitución y operación.

$$
f'(x) = \lim_{\Delta x \to 0} \frac{({\color{red}{x+\Delta x}})^3 + 1 – (x^3 + 1)}{\Delta x}
= \frac{x^3 + 3x^2\Delta x + 3x(\Delta x)^2 + (\Delta x)^3 + 1 – x^3 – 1}{\Delta x}
= \frac{\not x^3 + 3x^2\Delta x + 3x(\Delta x)^2 + (\Delta x)^3 + \not 1 – \not x^3 – \not 1}{\Delta x}
$$
$$
f'(x) = \frac{3x^2\Delta x + 3x(\Delta x)^2 + (\Delta x)^3}{\Delta x}
= \frac{\not\Delta x(3x^2 + 3x\Delta x + (\Delta x)^2)}{\not\Delta x}
$$

Paso #4. Evaluación del límite.

$$
f'(x) = \lim_{\Delta x \to 0} (3x^2 + 3x\Delta x + (\Delta x)^2) = 3x^2 + 0 + 0 = 3x^2
$$

Paso #5. Valor de la derivada.

$$
f'(x) = 3x^2
$$


VI. Ejemplo # 6: Derivar por definición

$$
f(x) = \frac{x^{4}}{2}
$$

Paso #1. Fórmula.

$$
f'(x) = \displaystyle \lim_{\Delta x \to 0}
\frac{f({\color{red}{x+\Delta x}}) – f(x)}{\Delta x}
$$

Paso #2. Identificar.

$$
f(\color{red}{x+\Delta x}) = \frac{(\color{red}{x+\Delta x})^{4}}{2}
$$

$$
f(x) = \frac{x^{4}}{2}
$$

Paso #3. Sustitución y operación.

$$
f'(x) = \lim_{\Delta x \to 0} \frac{\frac{({\color{red}{x+\Delta x}})^4}{2} – \frac{x^4}{2}}{\Delta x}
= \frac{\frac{({\color{red}{x+\Delta x}})^4 – x^4}{2}}{\Delta x}
$$

Se resuelve el binomio de cuarto grado (Puedes aplicar el Método del triángulo de Pascal)

$$
f'(x) = \frac{\not x^4 + 4x^3\Delta x + 6x^2(\Delta x)^2 + 4x(\Delta x)^3 + (\Delta x)^4 – \not x^4}{2\Delta x}
$$

Sacar factor común de Δx

$$
f'(x) = \frac{\not\Delta x(4x^3 + 6x^2\Delta x + 4x(\Delta x)^2 + (\Delta x)^3)}{2\not\Delta x}
$$
$$
f'(x) = \frac{4x^3 + 6x^2\Delta x + 4x(\Delta x)^2 + (\Delta x)^3}{2}
$$

Paso #4. Evaluación del límite.

 

$$
f'(x) = \lim_{\Delta x \to 0}
\frac{4x^3 + 6x^2\Delta x + 4x\Delta x^2 + \Delta x^3}{2}
= \frac{4x^3 + 6x^2 \cdot 0 + 4x \cdot 0^2 + 0^3}{2}
= 2x^3
$$

Paso #5. Valor de la derivada.

$$
f'(x) = 2x^3
$$


¿Quieres practicar más con un tutor?

Podemos preparar una sesión personalizada con ejercicios guiados, resolución paso a paso y seguimiento del progreso.

Solicita una tutoría

 


Tutorial para mejor comprensión del tema, no olvides suscribirte y compartir:

Actividades

Determine las derivadas de cada función utilizando la definición formal de la derivada.

I.$$
f(x) = x^{5}
$$
II.$$
f(x) = 3x+5
$$
III.$$
f(x) = \sqrt{x}
$$
IV.$$
f(x) = \frac{1}{x}
$$
V.$$
f(x) = x^{3}-4x
$$

Ahora que ya sabes más de derivadas por definición, pon manos a la obra y resuelve más ejercicios para practicar este contenido. Déjanos tus comentarios y comparte este contenido, así nos ayudas a seguir creciendo.

© LaProfeMatematik · Aprender con amor de Dios y mucha pasión

Interpretación geométrica de la derivada: Explicación fácil

Interpretación geométrica de la derivada

Una pendienteSi buscas profundizar en la interpretación geométrica de la derivada, aquí tienes una explicación fácil, te encantará este contenido. Comencemos con el siguiente ejemplo: un chico sale todos los días por la mañana a manejar bicicleta y en su recorrido se encuentra una colina casi siempre fangosa llena de subidas y bajadas. En esta y en muchas otras situaciones de la vida diaria es donde es aplicable la derivada, debido a la presencia de variadas pendientes. Aplicar la derivada en un punto específico permite precisar qué subidas o bajadas son más empinadas que otras.


Origen histórico

El surgimiento de la súper idea fantástica de la derivada y su interpretación se debe a las investigaciones que realizó Isaac Newton y Gottfried Leibniz por allá en el siglo XVII. Ambos matemáticos desarrollaron de manera independiente el cálculo diferencial, sentando las bases de esta rama fundamental de las matemáticas.

Terminologías que facilita la comprensión geométrica de la derivada

El fin de la derivada es conocer que tan la inclinado está un segmento o una recta en un punto específico de la curva de una función.

Si un tramo la curva sube, es porque en un punto en ella la pendiente del segmento  es positiva, pero si en un intervalo la curva baja, la pendiente es negativa. A continuación, la terminología que facilita la interpretación geométricamente la derivada.

I. Línea secante: La palabra secante es proveniente del latín “secare”, su significado es “cortar”. Puede trazarse como un segmento o una recta, y es una línea secante siempre y cuando sea:

  • Una línea cortando a una curva: Para este caso la línea secante corta en al menos dos puntos sobre una curva.
  • Una línea corta a otra línea: Es llamada línea secante cuando corta a otra línea en un punto específico.

Observa la imagen donde la función es una parábola y su curva es de color negro:

Recta secante

II. Línea tangente: Es una línea que toca a una curva en un punto, este punto recibe el nombre de “punto tangencia” y la línea es llamada tangente. Esta línea al igual que la línea secante puede trazarse como un segmento o como una recta.

La imagen a continuación, muestra la misma función anterior, la recta tangente y el punto tangencia denominado con la letra “A”.

Recta tangente

Transformación de recta secante a tangente

Para lograr la transformación de un tipo de recta a otra debes cumplir con los siguientes pasos:

I. Seleccionar un punto de la recta secante.

II. Mover ese punto hasta que llegue al otro.

III. Trazar la recta tangente debido al surgimiento del punto tangencia.

Observa la imagen, la función es la misma parábola con una recta secante, un punto “B” desplazándose hasta convertirse en un punto tangencia.

Transformación de recta secante a tangente

Explicación paso a paso

Cada paso te ayudará a comprender más a fondo la definición de la derivada, léelo con mucha atención y luego lo pones en práctica.

I. Graficar la función. En este caso se utiliza la función:

$$ f(x)=x^{2}$$

II. Trazar una recta secante que intercepte en dos puntos (A y B) a la curva de la función.

III. Coordenadas del punto A y B:

$$A\left ( x, f(x) \right )$$

$$B\left ( \left ( x+\Delta x \right ),f\left ( x+\Delta x \right ) \right )$$

IV. Fórmula de la pendiente:

$$m=\frac{\Delta y}{\Delta x}$$

$$m=\frac{y_{2}-y_{1}}{x_{2}-x_{1}}$$

V. Pendiente de la recta secante. Sustituir las coordenadas de ambos puntos en la fórmula de la pendiente:

Donde:

$$y_{2}=f(x+\Delta x)$$

$$y_{1}=f(x)$$

$$x_{2}=x+\Delta x$$

$$x_{1}=x$$

Reemplazando, en la fórmula pendiente de la secante queda así:

$$m=\frac{f(x+\Delta x)-f(x)}{x+\Delta x-x}$$

$$m=\frac{f(x+\Delta x)-f(x)}{\Delta x}$$

VI. Transformación: Para este paso, verás cuatro imágenes donde puedes apreciar la evolución de la transformación de un tipo de recta a otra.

Transformación

Observa en cada una de ellas como el punto B se acerca al punto A. La distancia tanto en ∆y como en x muestra progresivamente una disminución. Finalmente, el punto se convierte en un punto tangencia y la distancia en y x tiende a cero.

VII. Definición de la derivada: Cuando la pendiente de la recta es tangente la expresión en ese punto es el límite que:

$$\displaystyle \lim_{\Delta x \to 0}\frac{f\left ( x+\Delta x \right )-f\left ( x \right )}{\Delta x}$$

Por lo tanto:

derivada por definición

La derivada de la función es igual a la evaluación del límite cuando Δx tiende a cero de la diferencia de f ( x + x ) y f ( x ) dividido por x .


¿Quieres practicar más con un tutor?

Podemos preparar una sesión personalizada con ejercicios guiados, resolución paso a paso y seguimiento del progreso.


Solicita una tutoría


Tutorial para que refuerces el contenido

No olvides suscribirte y seguirnos para que te mantengas al día con nuestro contenido.

Actividades

I. Trabaja con el software GeoGebra y construye una curva con varias rectas tangentes.

a. Ingresa la función:

$$f(x)=x^{3}-3x^{2}+1$$

b. Selecciona el botón de herramienta “Punto” y ubícalo donde desees en la curva.

c. Selecciona el botón de herramienta “Tangentes”.

d. Selecciona el botón de herramienta “Pendiente”.

e. Tocar cada recta tangente.

Te invito a comparar y a emitir una conclusión en cada punto. No olvides comentar y compartir este contenido, de esta forma nos ayudas a seguir creciendo.

Límites definiciones ejemplos y asíntotas

Límites definiciones ejemplos y asíntotas

Límite matemático mostrado en una pizarra negra: lim cuando h tiende a 0 de f(t+h) menos f(t) dividido por h, representando la pendiente de la recta tangente.

En este post vas a aprender sobre los límites definiciones ejemplos y asíntotas, conceptos fundamentales que te ayudarán a comprender cómo se comportan las funciones en puntos específicos.

Cuando analizas una gráfica, notarás que al acercarse los valores de x a cierto punto, la función tiende a aproximarse a un valor determinado. Esa “tendencia de acercamiento”, incluso si la función no llega exactamente a ese valor, es lo que llamamos límite.

Comprender esta idea no solo te permitirá interpretar mejor las gráficas, sino que también te abrirá la puerta al estudio del Cálculo, ya que los límites son la base para entender conceptos más avanzados como la derivada y la continuidad.


¿Qué es un límite?

Imagina que vas conduciendo y ves una señal de límite de velocidad. Ese número es una frontera. En matemáticas, el concepto es similar: un límite es el valor al que se «aproxima» una función f(x) a medida que la variable x se acerca a un punto determinado.

¿Cómo se escriben y cómo se leen los límites?

En lenguaje matemático, un límite se expresa así:$$\displaystyle \lim_{x \to a}f(x)=L$$

Se lee:

El límite de la función f(x), cuando se acerca a a,es L

¿Qué significa realmente?

Significa que cuando tomas valores de muy cercanos a (por la izquierda y por la derecha), los valores de la función (x) se aproximan cada vez más al número L.

Observa este detalle:

se acerca a a, pero no necesariamente es igual a a.

Idea clave que debes recordar

Decir que:

$$\displaystyle \lim_{x \to a}f(x)=L$$

Significa que:

Cuando x está muy cerca de a, aunque sea diferente de a, los valores de (x) están muy cerca de L.

El límite estudia el comportamiento de la función alrededor del punto, no exactamente en el punto.

Ejemplo (Introducción al concepto de límite)

Considera la función:

$$f(x)=\frac{x^{2}-1}{x-1}$$

Solución

1. Evaluación de la función:$$x=1$$

$$f(1)=\frac{1^{2}-1}{1-1}=\frac{1-1}{0}=\frac{0}{0}$$

Se obtiene una indeterminación.

La función no está definida en$$x=1$$

¿A qué valor se acercan los resultados de la función cuando x se aproxima a 1?

2. Construcción de la tabla de valores cerca de $$x=1$$

Se toman valores por la izquierda y por la derecha de 1.

Tabla de valores de la función (x²−1)/(x−1) cuando x se aproxima a 1 para explicar el concepto de límite
Tabla de valores de la función (x²−1)/(x−1) cuando x se aproxima a 1 para explicar el concepto de límite.

Observación: cuando se acerca a 1, los valores de f(x) se acercan a 2.

3. Simplificación de la función 

Para simplificar lo primero es factorizar y luego cancelar factores iguales.

$$f(x)=\frac{x^{2}-1}{x-1}=\frac{(x+1)\cdot (x-1)}{x-1}=x+1$$
$$f(x)=x+1$$

4. Análisis de la nueva función

La función es realmente la recta$$f(x)=x+1$$

Pero con una condición:

Tiene un hueco en $$x=1$$ ya que allí la función original no existe.

5. Análisis de la gráfica

Al graficar $$f(x)=x+1$$

  • Es una recta.
  • En el punto (1,2) hay un punto abierto (hueco).

Observa la gráfica:

Gráfica de la función (x²−1)/(x−1) mostrando un hueco en x=1 y la tabla de valores cuando x se aproxima a 1 para explicar el concepto de límite
Gráfica de la función (x²−1)/(x−1) mostrando un hueco en x=1 y la tabla de valores cuando x se aproxima a 1 para explicar el concepto de límite.

Aunque la función no existe en ese punto, la gráfica se aproxima a él.

6. Conclusión.

Como los valores de la función se aproximan a 2 cuando se aproxima a 1, se concluye que:

$$\boxed{\displaystyle \lim_{x \to 1}\frac{x^{2}-1}{x-1}=2}$$

El límite estudia el valor al que se acercan los resultados de la función, aunque la función no esté definida en ese punto.


Límites Laterales: acercándose por la Izquierda y la Derecha

No siempre se llega a un punto desde la misma dirección. Para que un límite sea sólido, debes analizar qué pasa cuando vienes desde los números menores (izquierda) y desde los mayores (derecha).

  • Límite por la izquierda: Se denota como $$\lim_{x \to b^{-}} f(x)=L$$ Se utiliza el signo (-) como referencia del lado izquierdo. Entonces el límite cuando tiende a por la izquierda es L
  • Límite por la derecha: Se denota como $$\lim_{x \to b^{+}} f(x)=M$$ Se usa el signo (+) como referencia del lado derecho. Por lo tanto el límite cuando tiende a por la derecha es M

Representación gráfica de límites laterales por la izquierda y derecha para verificar la existencia del límite de una función.

👉 Puedes graficar esta función en Desmos 

La Regla de Existencia

La existencia o la no existencia del límite de una función depende de los límites laterales. Si se generan los mismos límites laterales (por la izquierda y por la derecha) entonces existe un límite de la función$$\lim_{x \to b^{-}} f(x)=\lim_{x \to b^{+}} f(x)=L$$Pero si se generan distintos límites laterales (por la izquierda y por la derecha) el límite de la función no existe.

Ejemplo

Crear la gráfica de (x) y determinar los límites laterales cuando tiende a 2.

ejemplo dereminar los limites laterales

Paso 1: Gráfica

Representación gráfica de dos funciones para verificar la existencia del límite.

Paso 2: Límite lateral izquierdo:

Límite lateral izquierdo

En la gráfica puedes observar que cuando tiende a 2–  la función  ) = 2

Paso 3: Límite lateral derecho:

limite lateral derecho

En la gráfica puedes observar que cuando tiende a 2+  la función  ) = 1

El resultado de los límites laterales no coinciden, esto quiere decir que el límite de la función ) NO EXISTE


Cómo calcular límites

Existen dos maneras principales para resolver un límite. La primera es la sustitución directa y la segunda es el uso de propiedades algebraicas.

A. Principio de sustitución directa

Es el primer paso obligado. Consiste en reemplazar el valor de x por el número al que tiende (b).

Si al evaluar f (b) obtienes un número real, ¡felicidades!, ese es el resultado del límite.

Ejemplo 1

Resuelve el siguiente límite$$\displaystyle \lim_{x \to 2^{+}}\sqrt{3x^{2}-8}=$$

Solución:

Reemplazar

$$\displaystyle \lim_{x \to 2^{+}}\sqrt{3x^{2}-8}=\sqrt{3\cdot 2^{2}-8}=\sqrt{4}=2$$

Resultado

$$\displaystyle \lim_{x \to 2^{+}}\sqrt{3x^{2}-8}=2$$

Ejemplo 2

Calcular

$$\displaystyle \lim_{x \to 3}-2x^{3}+5x-2=$$

¿Te atreves?

Muéstrame la solución

Sustitución

$$\displaystyle \lim_{x \to 3}(-2x^{3}+5x-2)=-2(3)^{3}+5(3)-2=-54+15-2=-41$$

Resultado

$$\displaystyle \lim_{x \to 3}(-2x^{3}+5x-2)=-41$$

¡Muy bien! Lo lograste.

 

B. Propiedades fundamentales de los límites

Para funciones más complejas, se aplican reglas que permitan «separar» el problema en partes más pequeñas.

Donde:

c = constante

$$\lim_{x \to b}f(x)=L$$

$$\lim_{x \to b}g(x)=M$$

1.Constante
2.De una variable
3.Suma de funciones
4. Resta de funciones
$$\displaystyle \lim_{x \to b}\left [ f(x)-g(x) \right ]=\displaystyle \lim_{x \to b}f(x)-\displaystyle \lim_{x \to b}g(x)=L-M$$
5.Múltiplo constante
$$\displaystyle \lim_{x \to b} [c\cdot f(x)]=c\cdot \displaystyle \lim_{x \to b}f(x)=L$$
6.Producto de funciones
7.Cociente de funciones
8.Potencia
$$\lim_{x \to b}\left [ f(x) \right ]^{g(x)}=\left [\lim_{ x\to b} f(x)\right ]^{\lim_{ x\to b}g(x)}=L$$
9.Función exponencial
$$
\lim_{x \to b}a^{f(x)} = a^{\lim_{x \to b}f(x)} = L
$$$$
a > 0
$$
10.Límite de una raíz
11.Límite de una raíz enésima de una función
$$\lim_{x \to b}\sqrt[n]{f(x)}=\sqrt[n]{\displaystyle \lim_{x \to b}f(x)}=\sqrt[n]{L}$$

Ejemplo 1

Determinar el límite de la función a continuación aplicando propiedades.$$\displaystyle \lim_{x \to 2^{+}}\sqrt{3x^{2}-8}=$$

Solución

1. Propiedad de la raíz.

$$\displaystyle \lim_{x \to 2^{+}}\sqrt{3x^{2}-8}=\sqrt{\displaystyle \lim_{x \to 2^{+}}\left ( 3x^{2}-8 \right )}$$

2. Propiedad de la resta de los límites y límite de una constante. 

$$\lim_{x \to 2^{+}}\sqrt{3x^{2}-8}=\sqrt{\lim_{x \to 2^{+}}(3x^{2}-8)}=\sqrt{\lim_{x \to 2^{+}} 3x^{2} – \lim_{x \to 2^{+}} 8}$$

3. Propiedad del múltiplo constante. 

$$\lim_{x \to 2^{+}}\sqrt{3x^{2}-8}=\sqrt{\lim_{x \to 2^{+}}(3x^{2}-8)}= \sqrt{\lim_{x \to 2^{+}} 3x^{2} – \lim_{x \to 2^{+}} 8}=\sqrt{3 \cdot \lim_{x \to 2^{+}} x^{2} – 8}$$

4. Evaluación del límite.

$$\displaystyle \lim_{x \to 2^{+}}\sqrt{3x^{2}-8}=\sqrt{3\cdot(2)^{2}-8}$$
$$\displaystyle \lim_{x \to 2^{+}}\sqrt{3x^{2}-8}=\sqrt{12-8}$$
$$\displaystyle \lim_{x \to 2^{+}}\sqrt{3x^{2}-8}=2$$

Ejemplo 2

Calcular el límite aplicando propiedades.$$\displaystyle \lim_{x \to 3}-2x^{3}+5x-2=$$

¿Te atreves nuevamente?

Muéstrame la solución

Procedimiento

1. Propiedad de la suma y resta de límites

$$\displaystyle \lim_{x \to 3}\big(-2x^{3}+5x-2\big)$$

$$=\displaystyle \lim_{x \to 3}(-2x^{3})+\displaystyle \lim_{x \to 3}(5x)-\displaystyle \lim_{x \to 3}(2)$$

2. Propiedad del múltiplo constante

$$=-2\cdot \displaystyle \lim_{x \to 3}x^{3}+5\cdot \displaystyle \lim_{x \to 3}x-2$$

3. Evaluación del límite

$$=-2\cdot (3)^{3}+5\cdot (3)-2$$

$$=-54+15-2$$

$$=-41$$

¡Muy bien! Lograste evaluar correctamente el límite.

 


Indeterminación 0/0

Al aplicar la sustitución directa, te puedes conseguir con un muro: la forma 0/0. Esto no significa que el límite no exista, sino que está «escondido».

Para encontrarlo, debes eliminar la indeterminación.

Estrategia 1: Factorización (Para funciones racionales)

Si te encuentras polinomios, lo más probable es que puedas simplificar la fracción factorizando el numerador o el denominador.

Ejemplo paso a paso

Calcula$$\displaystyle \lim_{x \to -5}\frac{x^{2}+2x-15}{x+5}$$

Solución

1. Sustitución directa.

$$\displaystyle \lim_{x \to -5}\frac{x^{2}+2x-15}{x+5}=\frac{(-5)^{2}+2\cdot (-5)-15}{-5+5}=\frac{0}{0}$$

2. Factorización.

$$\displaystyle \lim_{x \to -5}\frac{x^{2}+2x-15}{x+5}=\frac{(x+5)\cdot (x-3)}{x+5}=x-3$$

3. Sustitución directa.

$$\displaystyle \lim_{x \to 5}x-3=-5-3=-8$$

Estrategia 2: Racionalización (Para funciones con raíces)

Cuando aparecen raíces cuadradas, debes multiplicarla por el conjugado y así eliminar la raíz que genera el cero.

Ejemplo paso a paso

Determinar el límite.$$\displaystyle \lim_{x \to a}\frac{\sqrt{x}-\sqrt{a}}{x-a}$$

Solución:

1. Sustitución directa.

$$\displaystyle \lim_{x \to a}\frac{\sqrt{x}-\sqrt{a}}{x-a}=\frac{\sqrt{a}-\sqrt{a}}{a-a}=\frac{0}{0}$$

2. Racionalización.

$$\displaystyle \lim_{x \to a}\frac{\sqrt{x}-\sqrt{a}}{x-a}=\left ( \frac{\sqrt{x}-\sqrt{a}}{x-a} \right )\cdot \left ( \frac{\sqrt{x}+\sqrt{a}}{\sqrt{x}+\sqrt{a}} \right )=\left ( \frac{(\sqrt{x})^{2}-(\sqrt{a})^{2}}{(x-a)\cdot (\sqrt{x}+\sqrt{a})} \right )=\frac{x-a}{(x-a)\cdot (\sqrt{x}+\sqrt{a})}=\frac{1}{\sqrt{x}+\sqrt{a}}$$
3. Sustitución directa.
$$\displaystyle \lim_{x \to a}\frac{1}{\sqrt{x}+\sqrt{a}}=\frac{1}{\sqrt{a}+\sqrt{a}}=\frac{1}{2\sqrt{a}}\cdot \frac{\sqrt{a}}{\sqrt{a}}=\frac{\sqrt{a}}{2a}$$

Límites de funciones trigonométricas indeterminadas

Los límites de las funciones trigonométricas se pueden determinar por el método de sustitución directa.

Sí el límite trigonométricos resulta 0/0, te apoyas en las identidades trigonométricas o puedes aplicar las siguientes propiedades:

$$\displaystyle \lim_{x \to 0}\frac{senx}{x}=1$$

$$\displaystyle \lim_{x \to 0}\frac{1-cosx}{x}=0$$

Nota técnica: Recuerda que en cálculo, siempre se trabaja con radianes. Si tu ejercicio está en grados, conviértelos primero para evitar errores en los resultados.

Ejemplo paso a paso

Determine.$$\lim_{x \to \frac{\pi}{2}} \frac{\cos x}{\cot x}=$$

Solución

1. Sustitución directa.

$$\lim_{x \to \frac{\pi}{2}} \frac{\cos x}{\cot x} = \frac{0}{0}$$

2. Aplicación de identidades trigonométricas.

$$
\lim_{x \to \frac{\pi}{2}} \frac{\cos x}{\cot x}
=
\frac{\frac{\cos x}{1}}{\frac{\cos x}{\sin x}}
=
\frac{\cos x \cdot \sin x}{\cos x}
=
\sin x
$$

3. Evaluación del límite.

$$\displaystyle \lim_{x \to \frac{\pi }{2}}senx=1$$

4. Resultado.

$$\displaystyle \lim_{x \to \frac{\pi }{2}}\frac{cosx}{cotx}=1$$


Indeterminación ∞/∞ (La regla de los grados)

Al calcular límites en el infinito de funciones racionales, es frecuente encontrar el resultado ∞/∞.

Para «romper» esta indeterminación de forma profesional, se divide cada término por la x de mayor grado.

Igualdades simbólicas que debes memorizar 

Las igualdades simbólicas son fundamentales en el estudio de los límites, ya que permiten interpretar el comportamiento de las funciones cuando las variables se acercan a valores críticos como 0 o .

Estas expresiones no deben entenderse como operaciones aritméticas comunes, sino como reglas que describen tendencias (por ejemplo, crecimiento sin cota o aproximación a cero).

Su aplicación es clave para identificar límites infinitos, resolver indeterminaciones y simplificar expresiones, facilitando el análisis de funciones en situaciones donde la sustitución directa no es posible.

A continuación, la tabla de igualdades simbólicas, donde k es una constante:

$$k.0=0$$$$\frac{k}{0}=\infty $$
$$\frac{0}{k}=0$$$$k.\infty=\infty$$
$$\frac{k}{\infty}=0$$$$\frac{\infty}{k}=\infty$$
$$k\pm \infty=\pm \infty$$$$(\pm \infty)+(\pm \infty)=\pm \infty$$

El truco de los grados (criterios rápidos de resolución)

Para optimizar el cálculo de límites de funciones racionales cuando x →∞, no siempre es necesario recurrir a la división por la mayor potencia. Puedes determinarlo comparando el grado del polinomio superior (P) con el grado del polinomio inferior (Q).

Esta relación de potencias define tres escenarios fundamentales:

1. Numerador de mayor grado  P (x) >Q (x)

Si el grado del numerador es mayor, este crece a un ritmo que el denominador no puede compensar. Al no encontrar un equilibrio, la función no se estabiliza en un valor real específico, sino que diverge.

Esto significa que, a medida que x aumenta, el valor de y crece (o decrece) sin control, proyectándose hacia el infinito.

Entonces, el límite tiende a ±∞.
grado de polinomio mayor que

2. Denominador de mayor grado Q (x) > P (x)

Cuando el grado del denominador es mayor, el valor de Q (x) crece a una tasa significativamente superior a la de P (x). En términos de análisis, la fracción tiende a “desvanecerse” a medida que x aumenta.

Ejemplo: Imagínate repartir dos panes entre toda la población del mundo, al final a cada uno no le toca prácticamente nada.

Por lo tanto el límite tiende a cero.

grado de polinomio menor que

3. Equivalencia de grados P (x) = Q (x)

En este escenario, ambos polinomios crecen a tasas proporcionales. Las potencias de mayor orden se equilibran, por lo que el comportamiento final de la función queda definido exclusivamente por sus coeficientes principales.

Es como cuando dos equipos de fútbol terminan la liga empatados en puntos; para definir quién gana, deben mirar el “desempate” por diferencias de goles.

En matemáticas, ese desempate lo dictan los coeficientes principales.

Si m es el coeficiente principal de P (xel del Q (x), el límite es el cociente m/n.grado de polinomio igual que

Este caso la función converge hacia una asíntota horizontal en y=a/b.

Ejemplo 1. Comparación de grados

Determine$$\lim_{ x\to \infty }\frac{2x^{2}+3x-1}{x-1}$$

Solución:

Según el criterio (A) el resultado es:

Observa el procedimiento:

Paso 1: Dividir cada término entre la variable de mayor grado de toda la expresión.

$$\lim_{ x\to \infty }\frac{2x^{2}+3x-1}{x-1}=\frac{\frac{2x^{2}}{x^{2}}+\frac{3x}{x^{2}}-\frac{1}{x^{2}}}{\frac{x}{x^{2}}-\frac{1}{x^{2}}}=\frac{2+\frac{3}{x}-\frac{1}{x^{2}}}{\frac{1}{x}-\frac{1}{x^{2}}}$$
Paso 2: Reemplazar ∞.
$$=\frac{2+\frac{3}{\infty }-\frac{1}{\infty ^{2}}}{\frac{1}{\infty }-\frac{1}{\infty ^{2}}}=\frac{2+0-0}{0-0}=\frac{2}{0}=\infty $$

 

Resultado:
$$\lim_{ x\to \infty }\frac{2x^{2}+3x-1}{x-1}=\infty $$

Ejemplo 2. Comparación de grados

Calcular$$\lim_{ x\to \infty }\frac{2x^{2}+3x-5}{-3x^{2}+4x^{3}-3x+1}=$$

Solución

Según el criterio (B) el resultado es: 0

Desarrollo:

Paso 1: Dividir cada término entre la variable de mayor grado de toda la expresión

$$\lim_{ x\to \infty }\frac{2x^{2}+3x-5}{-3x^{2}+4x^{3}-3x+1}=\frac{\frac{2x^{2}}{x^{3}}+\frac{3x}{x^{3}}-\frac{5}{x^{3}}}{\frac{-3x^{2}}{x^{3}}+\frac{4x^{3}}{x^{3}}-\frac{3x}{x^{3}}+\frac{1}{x^{3}}}=\frac{\frac{2}{x}+\frac{3}{x^{2}}-\frac{5}{x^{3}}}{-\frac{3}{x}+4-\frac{3}{x^{2}}+\frac{1}{x^{3}}}$$

 

Paso 2: Sustituir ∞.

$$=\frac{\frac{2}{\infty }+\frac{3}{\infty ^{2}}-\frac{5}{\infty ^{3}}}{-\frac{3}{\infty }+4-\frac{3}{\infty ^{2}}+\frac{1}{\infty ^{3}}}=\frac{0}{4}=0$$

 

Resultado:

$$\lim_{ x\to \infty }\frac{2x^{2}+3x-5}{-3x^{2}+4x^{3}-3x+1}=0$$

Ejemplo 3. Comparación de grados

Hallar$$\lim_{ x\to \infty }\frac{5x^{2}+4}{2x^{2}+8}$$

Solución

Según el criterio (C) el resultado es:

$$\lim_{ x\to \infty }\frac{5x^{2}+4}{2x^{2}+8}=\frac{5}{2}$$

Para comprobarlo debes dividir cada término por la x de mayor grado.


Indeterminación ∞-∞

Cuando al evaluar límites obtienes la forma indeterminada ∞−∞, debes aplicar estrategias algebraicas para resolverla. Generalmente, esto implica simplificar la expresión mediante operaciones comunes o recurrir al producto por el conjugado (numerador y denominador) para poder efectuar la sustitución de valores de manera efectiva.

Ejemplo 1

Calcular el límite

$$\lim_{x\to\infty}\left[\frac{2x^{2}-7}{x+1}-\frac{6x^{2}+4}{3x-5}\right]$$

Solución

$$\text{Cuando } x\to\infty,\ \text{cada fracción tiende a infinito, generando una indeterminación } \infty-\infty.$$

Se efectúa la operación de resta de fracciones

$$
\lim_{x\to\infty}
\left[
\frac{2x^{2}-7}{x+1}-\frac{6x^{2}+4}{3x-5}
\right]
=
\lim_{x\to\infty}
\frac{(2x^{2}-7)(3x-5)-(6x^{2}+4)(x+1)}
{(x+1)(3x-5)}
$$

Desarrollar el numerador para encontrar términos semejantes

$$
\lim_{x\to\infty}
\frac{
6x^{3}-10x^{2}-21x+35

\left(6x^{3}+6x^{2}+4x+4\right)
}
{(x+1)(3x-5)}
$$

$$
\lim_{x\to\infty}
\frac{-16x^{2}-25x+31}{(x+1)(3x-5)}
$$

Desarrollar el denominador.

$$
\lim_{x\to\infty}
\frac{-16x^{2}-25x+31}{3x^{2}-2x-5}
$$

Evaluar el límite.

$$
\lim_{x\to\infty}
\frac{-16x^{2}-25x+31}{3x^{2}-2x-5}
=
\frac{-16}{3}
$$

$$
\boxed{
\lim_{x\to\infty}\left[\frac{2x^{2}-7}{x+1}-\frac{6x^{2}+4}{3x-5}\right]
=
-\frac{16}{3}
}
$$

Ejercicio 2

Determinar el límite

$$\lim_{x\to\infty}\left(\sqrt{4x^{2}+3x-1}-2x\right)$$

Solución

$$
\text{Cuando } x\to\infty:\qquad
\sqrt{4x^{2}+3x-1}-2x
=
\infty-\infty
$$

Para eliminar esta indeterminación se multiplica y se divide por el conjugado.

$$
\lim_{x\to\infty}
\left(\sqrt{4x^{2}+3x-1}-2x\right)
=
\lim_{x\to\infty}
\frac{\left(\sqrt{4x^{2}+3x-1}-2x\right)\left(\sqrt{4x^{2}+3x-1}+2x\right)}
{\sqrt{4x^{2}+3x-1}+2x}
$$

Aplicando producto notable en el numerador:

$$
\lim_{x\to\infty}
\frac{(4x^{2}+3x-1)-(2x)^{2}}
{\sqrt{4x^{2}+3x-1}+2x}
$$

Buscar términos semejantes

$$
\lim_{x\to\infty}
\frac{4x^{2}+3x-1-4x^{2}}
{\sqrt{4x^{2}+3x-1}+2x}
$$

Se genera:

$$
\lim_{x\to\infty}
\frac{3x-1}
{\sqrt{4x^{2}+3x-1}+2x}
$$

Para eliminar la nueva indeterminación debes dividir el numerador y denominador por la mayor potencia de \(x\), en este caso \(x\).

$$
\lim_{x\to\infty}
\frac{\dfrac{3x-1}{x}}
{\dfrac{\sqrt{4x^{2}+3x-1}}{x}+2}
$$

Se ingresa la «x» dentro del radical

$$
\lim_{x\to\infty}
\frac{3-\dfrac{1}{x}}
{\sqrt{\dfrac{4x^{2}+3x-1}{x^{2}}}+2}
$$

$$
\lim_{x\to\infty}
\frac{3-\dfrac{1}{x}}
{\sqrt{4+\dfrac{3}{x}-\dfrac{1}{x^{2}}}+2}
$$

Evaluando el límite:

$$
\frac{3}{\sqrt{4}+2}
=
\frac{3}{4}
$$

$$
\boxed{
\lim_{x\to\infty}\left(\sqrt{4x^{2}+3x-1}-2x\right)
=
\frac{3}{4}
}
$$


Cálculo de límites por sustitución de variables equivalentes

Dos funciones f(x) y g(x) son equivalentes cuando:$$\displaystyle \lim_{x \to a}\frac{f(x)}{g(x)}=1$$

Esto significa que, cuando x se acerca a, ambas funciones se comportan prácticamente igual, donde puede ser cualquier número real o ±∞.

Es decir:

  • Crecen igual.
  • Se hacen pequeñas al mismo ritmo.
  • Se hacen grandes al mismo ritmo.

Ejemplo

$$\displaystyle \lim_{x \to 0}\frac{5x^{2}+3x^{4}}{5x^{2}}$$

Solución

$$\displaystyle \lim_{x \to 0}\frac{5x^{2}+3x^{4}}{5x^{2}}=\frac{0}{0}$$

Factorizando y simplificando la expresión queda así:

$$\displaystyle \lim_{x \to 0}\frac{5+3x^{2}}{5}=\frac{5+3\cdot 0^{2}}{5}=\frac{5}{5}=1$$

 

Ambas funciones, la del numerador y la del denominador se hacen pequeñas y son equivalentes en x→0.


Método de funciones equivalentes

El método de funciones equivalentes se aplica cuando una expresión presenta una indeterminación como $$\frac{0}{0}\, \, o\,\, \frac{\infty }{\infty }$$ Y contiene expresiones (funciones) que tienden a 0 o a infinito.

Este método permite sustituir ciertas funciones por otras equivalentes más simples, que tengan el mismo comportamiento cuando la variable se aproxima al punto del límite, sin alterar el valor final del límite.

Es aplicado cuando:

  • Las funciones que tienden a 0 → (Llamadas infinitésimos equivalentes)
  • Las funciones que tienden a → (Denominadas infinitos equivalentes)

Este método funciona porque cerca de cero, algunas funciones se comportan como su aproximación lineal (o cuadrática), es decir con un mismo comportamiento.

Por ejemplo:

  • La gráfica de sen x cerca de 0 es casi una recta.
  • Esa recta es precisamente y = x.

Es por esta razón que se puede reemplazar una por la otra sin cambiar el valor del límite. Observa que cuando x→0 la función del sen es casi una recta, esto es lo que conoce como funciones equivalentes.

Aproximación de las dos funciones cuando x tiende a cero

Infinitésimos

Una función f (x) es un infinitésimo cuando:$$\displaystyle \lim_{x \to a}f(x)=0$$

Es decir, cuando la variable se aproxima a a, los valores de la función se acercan a cero (0). Por lo tanto, el ejemplo de la imagen es infinitésimo.

Tabla de infinitésimos equivalentes cuando u→0

Esta tabla reúne funciones que, al tender a cero, se comportan de manera equivalente, es decir, tienden a cero al mismo ritmo. Dos expresiones son infinitésimos equivalentes cuando el cociente entre ellas tiende a 1. Estas equivalencias permiten sustituir funciones más complejas por otras más simples sin alterar el valor del límite, facilitando así el cálculo de indeterminaciones.

$$senu\sim u$$$$e^{u}-1\sim u$$
$$tanu\sim u$$$$a^{u}-1\sim u\cdot La$$
$$sen^{-1}u\sim u$$$$\left ( 1+u \right )^{m}\sim m\cdot u$$
$$tan^{-1}u\sim u$$$$\left ( 1+u \right )^{m}-1\sim u$$
$$1-cosu\sim \frac{u^{2}}{2}$$$$u-senu\sim \frac{u^{3}}{6}$$
$$L(1+u)\sim u$$$$tanu-u\sim \frac{u^{3}}{3}$$

El símbolo ∼ significa “es equivalente a cuando x → 0”

Ejemplo 1

Calcular:$$\displaystyle \lim_{x \to 0}\frac{sen2x}{x}$$

Solución

$$
\lim_{x \to 0}\frac{\sin(2x)}{x}
=\frac{\sin(0)}{0}
=\frac{0}{0}
$$

Para eliminar esta indeterminación se aplica sustitución de variables equivalentes.

Cuando$$x\to 0$$

$$senu\sim u$$

Entonces se aplica la equivalencia considerando que: $$sen2u\sim 2x$$

$$\frac{sen2x}{x}\sim \frac{2x}{x}$$

Simplificación:

$$\frac{2x}{x}=2$$

$$\displaystyle \lim_{x \to 0}\frac{sen2x}{x}=2$$

Ejemplo 2

Calcular límite

$$
\lim_{x\to 0}
\left[
\frac{sin^{2}x\;\sqrt{csc\,x-cot\,x}}
{3x\cdot tan\,x\;\sqrt{sin\,x}}
\right]
$$

Solución

$$
\lim_{ x\to 0}\frac{sin^{2}x\;\sqrt{csc\,x-cot\,x}}{3x\cdot tan\,x\;\sqrt{sin\,x}}=\frac{0}{0}
$$

Porque \(sin\,0=0\) y \(tan\,0=0\).

Efectuando operaciones y simplificando.

Sabemos que:

$$
csc\,x=\frac{1}{sin\,x}
\qquad\text{y}\qquad
cot\,x=\frac{cos\,x}{sin\,x}
$$

Sustituyendo en la expresión:

$$
\lim_{x\to 0}
\frac{sin^{2}x\;
\sqrt{\dfrac{1}{sin\,x}-\dfrac{cos\,x}{sin\,x}}}
{3x\cdot tan\,x\;\sqrt{sin\,x}}
$$

Se restó las fracciones en el radicando

$$
\lim_{x\to 0}
\frac{sin^{2}x\;
\sqrt{\dfrac{1-cos\,x}{sin\,x}}}
{3x\cdot tan\,x\;\sqrt{sin\,x}}
$$

Se extrae sinx

$$
\lim_{x\to 0}
\frac{sin^{2}x\;\sqrt{1-cos\,x}}
{3x\cdot tan\,x\;( \sqrt{sin\,x})^{2}}
$$

$$
\lim_{x\to 0}
\frac{sin^{2}x\;\sqrt{1-cos\,x}}
{3x\cdot tan\,x\;sin\,x}
$$

Aplicando equivalencias notables cuando \(x\to 0\):

$$
sin\,x \sim x,
\qquad
tan\,x \sim x,
\qquad
1-cos\,x \sim \frac{x^{2}}{2}
$$

Sustituyendo equivalencias:

$$
\lim_{x\to 0}
\frac{(x)^{2}\;\sqrt{\dfrac{x^{2}}{2}}}
{3x\cdot x\cdot x}
$$

Se aplica la propiedad de la radicación (raíz de un cociente)

$$
\lim_{x\to 0}
\frac{x^{2}\;\dfrac{x}{\sqrt{2}}}
{3x^{3}}
$$

Se multiplica y se divide

$$
\lim_{x\to 0}
\frac{x^{3}}{3\sqrt{2}\,x^{3}}
=
\frac{1}{3\sqrt{2}}
$$

$$
\boxed{
\lim_{x\to 0}
\left[
\frac{sin^{2}x\;\sqrt{csc\,x-cot\,x}}
{3x\cdot tan\,x\;\sqrt{sin\,x}}
\right]
=
\frac{1}{3\sqrt{2}}\cdot \frac{\sqrt{2}}{\sqrt{2}}=\frac{\sqrt{2}}{6}
}
$$

Ejemplo 3

Determina el límite

$$
\lim_{x\to a}
\left[
\frac{sin^{2}x-sin^{2}a}{x^{2}-a^{2}}
\right]
$$

Solución

$$
\lim_{x\to a}\left(\frac{sin^{2}a-sin^{2}a}{a^{2}-a^{2}}\right)=\frac{0}{0}
$$

Se factoriza el numerador y el denominador.

$$
sin^{2}x-sin^{2}a=(sin\,x+sin\,a)(sin\,x-sin\,a)
$$

$$
x^{2}-a^{2}=(x+a)(x-a)
$$

Aplicación de las identidades trigonométricas en la diferencia de senos:

$$
sin\,x-sin\,a=
2\;cos\!\left(\frac{x+a}{2}\right)
\;sin\!\left(\frac{x-a}{2}\right)
$$

Sustituyendo en el límite:

$$
\lim_{x\to a}
\frac{
(sin\,x+sin\,a)\;
2\,cos\!\left(\frac{x+a}{2}\right)
sin\!\left(\frac{x-a}{2}\right)
}
{(x+a)(x-a)}
$$

Aplicando equivalencia notable cuando \(x\to a\):

$$
sin\!\left(\frac{x-a}{2}\right)\sim \frac{x-a}{2}
$$

Entonces:

$$
\lim_{x\to a}
\frac{
(sin\,x+sin\,a)\;
2\,cos\!\left(\frac{x+a}{2}\right)
\;\dfrac{x-a}{2}
}
{(x+a)(x-a)}
$$

Simplificando:

$$
\lim_{x\to a}
\frac{
(sin\,x+sin\,a)\;
cos\!\left(\frac{x+a}{2}\right)
}
{x+a}
$$

Ahora se evalúa el límite:

$$
=
\frac{
( sin\,a+sin\,a )\;
cos\!\left(\frac{a+a}{2}\right)
}
{a+a}
$$

$$
=
\frac{2\,sin\,a\;cos\,a}{2a}
$$

Recordando que:

$$
2\,sin\,a\;cos\,a=sin\,2a
$$

$$
\boxed{
\lim_{x\to a}
\left[
\frac{sin^{2}x-sin^{2}a}{x^{2}-a^{2}}
\right]
=
\frac{sin\,2a}{2a}
}
$$


Límites infinitos vs. Límites en el infinito

Es común confundir estos términos, pero representan comportamientos muy distintos en una gráfica.

A. Límites infinitos (Crecimientos sin cota)

Se dice de un límite infinito cuando, al acercarse a un valor → b, la función f (x) crece o decrece sin detenerse. En estos casos, se dice que el límite no existe como un número real, y simbólicamente es expresado así:

  • Crecimiento: $$\displaystyle \lim_{x \to b}f(x)=+\infty $$
  • Decrecimiento: $$\displaystyle \lim_{x \to b}f(x)=-\infty $$
  • Significado geométrico: Aquí es donde aparecen las asíntotas verticales.

Diferencia entre funciones con cota y sin cota

En el estudio de límites infinitos, el concepto de cota es fundamental para entender el comportamiento de la función en el eje y (rango).

Una cota es, en términos sencillos, una «barrera» o un valor máximo/mínimo que la función no puede sobrepasar. En otras palabras, la cota es un número ubicado en el eje “y” y representa un valor máximo o mínimo de una función.

1. Funciones con Cota (Acotadas)

Una función tiene una cota inferior o cota superior si existe un número real que limita sus valores.

Ejemplo con cota

Diga si la función dada posee cota:$$f(x)=x^{2}+2$$

Solución:

Paso 1.

Función cuadrática con cota inferior

Paso 2.

Análisis: No importa qué valor de x elijas, el resultado nunca será menor a 2.

Cota: El número es su cota inferior.

Rango: [ 2 , ∞ ).

Comportamiento del límite: Aunque la función crece hacia el infinito, se conoce con exactitud dónde parte.

2. Funciones sin Cota (No acotadas)

Una función no tiene cota cuando sus valores crecen o decrecen de forma ilimitada a medida que x se aproxima a un valor «b» o al infinito. Aquí es donde nacen los límites infinitos

Ejemplo sin cota

Dada la función:$$\displaystyle \lim_{x \to 0}\frac{1}{x}$$

Solución:

1. Tabla de valores.

Tabla de valores de la función racional uno entre x

2. Gráfica.

Comportamiento de la función racional uno entre x cuando x tiende a cero por ambos lados

3. Comportamiento

Izquierda:$$\lim_{x \to 0^{-}} \frac{1}{x} = -\infty$$

Al acercarse a 0 por la izquierda la función baja sin detenerse, el límite es -∞.

Derecha:$$\lim_{x \to 0^{+}} \frac{1}{x} = +\infty$$

Al acercarse a 0 por la derecha la función sube de forma indefinida, por lo tanto el límite es +∞.

4. Análisis

A medida que “x” se hace más pequeño (0.03, 0.02, 0.01 tabla de valores), el valor de (x) aumenta (33.53, 50, 100).

5. Conclusión

La función no está acotada en un entorno de = 0, ya que crece si límite hacia +∞ por la derecha y hacia -∞ por la izquierda. Por esta razón el $$\displaystyle \lim_{x \to 0}\frac{1}{x}$$

No existe como número real.

B. Límites en el infinito (Comportamiento final de la función)

Los límites en el infinito describen el comportamiento de una función cuando la variable crece o decrece sin límite, es decir, cuando x →∞ x → -∞.

Si la función (x) se aproxima a un valor constante, se dice que tiene un límite en el infinito:

límites en el infinito

Esto significa que cuando toma valores muy grandes o muy pequeños, la función se aproxima a esos valores.

Significado geométrico:

Si el límite es un número real L, entonces la recta L es una asíntota horizontal de la función.

Al calcular límites en el infinito se tienen en cuenta dos casos:

Caso 1. Si ∈ ℜ y n ∈ Ν

$$\lim_{ x\to \infty }\frac{k}{x^{n}}=0$$

$$\lim_{ x\to -\infty }\frac{k}{x}=0$$

Esto quiere decir cuando existe una expresión racional y el numerador es una constante el resultado del límite cuando tiende al infinito es cero.

Caso 2. Límites en el infinito de una función racional

Los límites de funciones racionales para los cuales se presentan la indeterminación ∞/∞ reciben el nombre de límites en el infinito.

caso # 2

Cálculo de asíntotas de una función

Las asíntotas son rectas a las que la gráfica de la función se acerca indefinidamente sin llegar nunca a tocarlas (en el infinito). Son las «guías» que definen la forma de la curva.

A. Cómo hallar asíntotas horizontales (y=b)

Indican el valor al que se estabiliza la función cuando x se hace muy grande o muy pequeña.

  • Cómo hallarlas: Se calcula el límite de la función cuando x→∞.

  • Regla de oro: Si existe asíntota horizontal, no hay asíntota oblicua (en funciones racionales simples)

Ejemplo paso a paso.

Determinar la asíntota horizontal de$$f(x)=\frac{4x^{2}+1}{3x^{2}}$$

Solución:

1. Calcular.

$$\lim_{ x\to \pm \infty }\frac{4x^{2}+1}{3x^{2}}=$$

Según el criterio el resultado es:

$$\lim_{ x\to \pm \infty }\frac{4x^{2}+1}{3x^{2}}=\frac{4}{3}$$

2. Significado.

Cuando  → ± ∞ , f ) = 4/3

3. Respuesta.

La asíntota horizontal es:

$$y=\frac{4}{3}$$

4. Gráfica.

Visualización de una asíntota horizontal y=4/3 que muestra el comportamiento final de una función en el infinito.

B. Cómo hallar las asíntotas verticales (x=a)

Aparecen en los valores de x donde la función se dirige hacia el infinito.

  • Cómo hallarlas: En funciones racionales, son los valores que hacen que el denominador sea cero (siempre que el numerador no sea cero en ese mismo punto).

Ejemplo paso a paso.

Calcular la asíntota vertical de la función$$f(x)=\frac{2x+1}{x^{2}-x-2}$$

Solución

1. Factorizar el denominador.

$$f(x)=\frac{2x+1}{x^{2}-x-2}=\frac{2x+1}{(x-2)(x+1)}$$

La función no está definida en x = 2 y  x = -1. Como estos valores anulan el denominador pero no el numerador, se concluye que existen asíntotas verticales en:

$$x=2$$

$$x=-1$$

2. Signo de los límites laterales (Confirmar el comportamiento infinito de la función en los puntos x=-1 y x=2) 

$$f(x)\frac{2x+1}{(x-2)(x+1)}$$

Cerca de x =-1

  • 2x+1≈-1 (negativo)
  • x-2≈-3 (negativo)
  • x+1→0

Lado izquierdo:

  • x+1<0
  • Denominador: (negativo)(negativo)=positivo pequeño.
  • Resultado: negativo / positivo → -∞

$$\lim_{ x\to -1^{-}}\frac{2x+1}{x^{2}-x-2}=-\infty $$

Lado derecho:

  • x+1>0
  • Denominador: (negativo)(positivo)=negativo pequeño
  • Resultado: negativo / negativo →+∞

$$\lim_{ x\to -1^{+}}\frac{2x+1}{x^{2}-x-2}=\infty $$

Cerca de = 2

  • 2x+1≈5 (positivo)
  • x+1≈3 (positivo)
  • x-2→0

Lado izquierdo:

  • x-2<0
  • Denominador: (negativo)(positivo)=negativo pequeño.
  • Resultado: positivo / negativo → -∞

$$\lim_{ x\to 2^{-}}\frac{2x+1}{x^{2}-x-2}=-\infty $$

Lado derecho:

  • x-2>0
  • Denominador: (positivo)(positivo)=positivo pequeño
  • Resultado: positivo / positivo →+∞

$$\lim_{ x\to 2^{+}}\frac{2x+1}{x^{2}-x-2}=\infty $$

 

3. Gráfica.
Grafica de función racional (2x+1)/(x al cuadrado -x-2), se muestra sus dos asíntotas verticales x=-1 y x=2

Asíntotas oblicuas (y=mx + b)

Cuando trabajas con asíntotas oblicuas, lo que estás intentando descubrir es cómo se comporta una función cuando los valores de 𝑥 x se hacen muy grandes, es decir, cuando x→∞  o  x→−∞. En ese recorrido, muchas funciones comienzan a parecerse cada vez más a una recta inclinada.

Estas asíntotas son justamente eso: rectas inclinadas (ni horizontales ni verticales) a las que la función se va acercando poco a poco, sin llegar a tocarlas completamente.

Esa recta tiene la forma:$$y=mx+b$$ Ahora bien, algo muy importante que debes tener en cuenta es esto:

Una función racional solo tiene asíntota oblicua cuando el grado del numerador es exactamente uno mayor que el grado del denominador.

Pasos para determinar las asíntotas oblicuas

Para encontrar esa recta, debes seguir tres pasos fundamentales: primero calcular la pendiente, luego el intercepto y, finalmente, construir la ecuación de la asíntota.

1. Cálculo de la pendiente (m):  Se calcula el límite cuando x → ±∞, dividiendo la función f (x) entre x, si el resultado es una constante, la función posee una asíntota oblicua y esta constante representa su pendiente (m).

Si es 0 o ∞, no existe asíntota oblicua.

m ∈ ℜ – {0}

$$m=\lim_{ x\to \infty }\frac{f(x)}{x}$$

2. Determinación del intercepto (b): Se determina el intercepto con el eje y aplicando el límite de la diferencia entre la función y el producto de la pendiente por la variable:

$$b=\lim_{x \to \infty} [f(x) – mx]$$

3. Construcción de la ecuación: Finalmente, se escribe la ecuación explícita de la recta combinando ambos valores en la forma:$$f(x) = mx + b$$.

También puedes hallarla realizando la división polinómica de la función; el cociente de la división es la ecuación de la asíntota oblicua.

Ejemplo paso a paso.

Determinar si la función posee asíntota oblicua.$$f(x)=\frac{x^{2}-9}{3x}$$

Solución:

Paso 1. Reemplazar la función.

$$m=\lim_{ x\to \infty }\frac{f(x)}{x}=\frac{\frac{x^{2}-9}{3x}}{x}=\frac{x^{2}-9}{3x^{2}}$$

La pendiente es:

$$m=\lim_{ x\to \infty }\frac{x^{2}-9}{3x^{2}}=\frac{1}{3}$$

Posee asíntota oblicua de pendiente (m) =1/3

Paso 2. Intercepto (b)

$$b=\lim_{ x\to \infty }f(x)-mx$$
$$b=\lim_{ x\to \infty }\frac{x^{2}-9}{3x^{2}}-\frac{1}{3}x$$
$$b=\lim_{ x\to \infty }\frac{3x^{2}-27-3x^{2}}{9x^{2}}$$
$$b=\lim_{ x\to \infty }\frac{-3}{x}$$
$$b=0$$

Ecuación de la asíntota oblicua:

$$f(x)=\frac{x}{3}+0$$
$$f(x)=\frac{x}{3}$$

Asíntota vertical:

$$x=0$$

Interceptos con el eje “x”

Igualar el numerador a cero.

$$x=\pm 3$$

Interceptos con el eje “y

No existe.

Tabla de valores

Gráfica

Gráfica de una función racional con asíntota oblicua inclinada y su ecuación explícita lineal.


Actividades 

Parte 1

I. Hallar los límites de cada función, aplicando los 2 métodos (sustitución y propiedades).

$$\displaystyle \lim_{x \to 1}x^{2}+2x-3$$
$$\displaystyle \lim_{ x\to 2}\frac{4x^{2}-3x}{x+2}$$
$$\displaystyle \lim_{x \to 1}\frac{x^{2}+\sqrt{x+3}}{\sqrt{x+8}}$$
$$\displaystyle \lim_{ x\to 2}\frac{3x+1}{2x}\cdot \sqrt{\frac{x+2}{9}}$$
$$\displaystyle \lim_{x \to 2}\frac{1}{2+\frac{x+1}{2-\frac{x+2}{2}}}$$
$$\displaystyle \lim_{ x\to 2}log\left ( \frac{2x+3}{x-1} \right )$$
$$\displaystyle \lim_{x \to 1}\left ( \frac{x}{2x+3} \right )^{3}$$
$$\displaystyle \lim_{ x\to 2}\left ( \sqrt[3]{\frac{x+2}{x-1}} \right )^{\frac{x+1}{2x}}$$
$$\displaystyle \lim_{x \to 1}10^{\left ( \frac{3x+2}{x} \right )}$$

Respuestas: 0;  5/2;  1;  7/6;  0;  log7;  1/5³;  √2;  10^5

Parte 2

II. Determinar el límite de la forma 0/0

$$\displaystyle \lim_{x \to 3}\left ( \frac{\sqrt{x}-\sqrt{3}}{x-3} \right )$$
$$\displaystyle \lim_{ x\to 4}\left ( \frac{3-\sqrt{x+5}}{x^{2}-16} \right )$$
$$\displaystyle \lim_{x \to 2}\frac{x^{2}-\sqrt{8x}}{\sqrt{2x}-2}$$
$$\displaystyle \lim_{ x\to 2}\frac{\sqrt{x+2}-\sqrt{2x}}{\sqrt{x-2}}$$
$$\displaystyle \lim_{x \to 0}\frac{(a-x)^{3}-a^{3}}{x}$$
$$\displaystyle \lim_{ x\to 2}\frac{x-\sqrt{x+2}}{\sqrt{4x+1}-3}$$
$$\displaystyle \lim_{x \to 0}\frac{a-\sqrt{a^{2}-x^{2}}}{x}$$
$$\displaystyle \lim_{ x\to 0}\frac{\sqrt{x+1}-\sqrt{x^{2}+x+1}}{x}$$
$$\displaystyle \lim_{x \to a}\frac{x\sqrt{x}-a\sqrt{a}}{\sqrt{x}-\sqrt{a}}$$

Respuestas: √3/6;  -1/48;  6;  0;  -3a²; 9/8;  0;  0; 3a

III. Calcular el límite de la forma ∞/∞

$$\displaystyle \lim_{x \to \infty }\frac{4x^{3}-3x^{2}+1}{x^{2}+x-2}$$
$$\displaystyle \lim_{ x\to \infty }\frac{4x^{3}+2x-1}{2x^{3}+3}$$
$$\displaystyle \lim_{x \to \infty }\frac{x+2}{x^{2}+3}$$
$$\displaystyle \lim_{ x\to \infty }\left ( \frac{2+\frac{x-3}{x+1}}{3-\frac{2x+1}{x+1}} \right )$$

Respuestas: ∞;  2;  0;  3

IV. Determinar el límite de la forma ∞-∞

Uno (1)

$$\lim_{x\to\infty}\left(\frac{2x^{2}-1}{2x+1}-\frac{x^{2}}{x-1}\right)
\quad\Rightarrow\quad
-\frac{3}{2}$$

Dos (2)

$$
\lim_{x\to\infty}\left(\sqrt{x^{2}-1}-\sqrt{x^{2}-3x+2}\right)
\quad\Rightarrow\quad
\frac{3}{2}
$$

Tres (3)

$$
\lim_{x\to\infty}\left(\sqrt{x^{2}+ax}-x\right)
\quad\Rightarrow\quad
\frac{a}{2}
$$

Cuatro (4)

$$
\lim_{x\to\infty}\left(\sqrt{(x+a)(x+b)}-x\right)
\quad\Rightarrow\quad
\frac{a+b}{2}
$$

Cinco (5)

$$
\lim_{x\to\infty}\left(\sqrt{x+\sqrt{x}}-\sqrt{x-\sqrt{x}}\right)
\quad\Rightarrow\quad
1
$$

Parte 3

V. Determinar cada límite aplicando equivalencias.

Uno (1)

$$
\lim_{x\to 0}\left(\frac{sin(3x)}{x}\right)
\quad\Rightarrow\quad 3
$$

Dos (2)

$$
\lim_{x\to 0}\left(\frac{sin(2x)}{tan(4x)}\right)
\quad\Rightarrow\quad \frac{1}{2}
$$

Tres (3)

$$
\lim_{x\to 0}\left(\frac{arcsin(x)\,tan^{2}x}{x\,sin^{2}x}\right)
\quad\Rightarrow\quad 1
$$

Cuatro (4)

$$
\lim_{x\to 0}\left(\frac{1-cos x}{sin^{2}x}\right)
\quad\Rightarrow\quad \frac{1}{2}
$$

Cinco (5)

$$
\lim_{x\to 0}\left(\frac{x^{2}\,tan x+2x^{3}}{x-x\,cos x}\right)
\quad\Rightarrow\quad 6
$$

Seis (6)

$$
\lim_{x\to 0}\left(\frac{1-cos(3x)}{tan x\,sin x}\right)
\quad\Rightarrow\quad \frac{9}{2}
$$

Siete (7)

$$
\lim_{x\to 0}\left(\frac{sin^{2}x+tan^{2}x}{1-cos x}\right)
\quad\Rightarrow\quad 4
$$

Ocho (8)

$$
\lim_{x\to 0}\left(\frac{2x^{2}\,tan^{2}x}{3\,(sin(2x))^{4}}\right)
\quad\Rightarrow\quad \frac{1}{24}
$$

Nueve (9)

$$
\lim_{x\to 0}\left(\frac{sin(tan(3x))}{tan(sin(2x))}\right)
\quad\Rightarrow\quad \frac{3}{2}
$$

Diez (10)

$$
\lim_{x\to 0}\left(\frac{tan^{2}x\,\sqrt{x\,sin x}}{x\,\sqrt{\dfrac{1-cos x}{2}}}\right)
\quad\Rightarrow\quad 2
$$

Once (11)

$$
\lim_{x\to 0}\left(\frac{arcsin x\,tan(2x)}{2x\,tan x\,\sqrt{1-cos x}}\right)
\quad\Rightarrow\quad 2\sqrt{2}
$$

Doce (12)

$$
\lim_{x\to 0}\left(\frac{arcsin(2x)\,\sqrt{tan x}}{2x\,\sqrt{csc x-cot x}}\right)
\quad\Rightarrow\quad \sqrt{2}
$$

Trece (13)

$$
\lim_{x\to 0}\left(\frac{\arctan x}{2x}+\frac{4x}{sin(3x)}\right)
\quad\Rightarrow\quad \frac{11}{6}
$$

Catorce (14)

$$
\lim_{x\to 0}\left(\frac{sin x\,\sqrt{csc x-cot x}-x\,\sqrt{x}}{x\,\sqrt{tan x}}\right)
\quad\Rightarrow\quad \frac{1-\sqrt{2}}{\sqrt{2}}
$$

Parte 4

VI. La función f (x) definida como:

Ejercicio 1

a. Grafica la función

b. Determinar los límites laterales:

determinar

c. ¿Existe el límite Existencia de límit? Justifica tu respuesta.

Funciones: Guía completa de dominio, rango, clasificación y operaciones.

Funciones: Guía completa de dominio, rango, clasificación y operaciones.

Función¿Sabes cómo las funciones se aplica en la vida diaria? Un ejemplo sencillo lo vemos en una frutería:

Imagina que cada paquete de 4 manzanas se vende por un precio fijo. En este caso, el beneficio económico del negocio es una función de la cantidad de paquetes vendidos. Esto significa que la ganancia que se obtiene (y) depende directamente del número de paquetes que se vendan (x).


Función

Es una relación que debe cumplir las siguientes condiciones:

I- Todos los elementos del conjunto de partida deben poseer imágenes en el conjunto de llegada.

II- Cada elemento del conjunto de partida sólo debe tener una imagen en el conjunto de llegada.


Ejemplo.

Observa la figura y determina si las relaciones mostradas son funciones. justifica tu respuesta.

Función

Respuesta:

a. En la relación no es función porque el elemento 2 del conjunto de partida posee dos imágenes, 4 y 2, en el conjunto de llegada. Los pares ordenados formados son: {(1,4),(2,4),(2,2),(3,7),(4,3)}

b. En la relación a pesar que el elemento c del conjunto de llegada no esté relacionado si es función porque todos los elementos del conjunto de partida tienen una sola imagen. Los pares ordenados son:  g {(1,a),(2,b),(3,d)}

c. En la relación si es función porque todos los elementos del conjunto de partida tienen una sola imagen. Los pares ordenados son:  h {(1,2),(2,2),(3,2)}

d. En la relación es función porque todos los elementos del conjunto de partida tienen una sola imagen, a pesar que el elemento n del conjunto de llegada no esté relacionado. Los pares ordenados son:  i {(1,l),(2,m),(3,m)}

e. En la relación no es función porque el elemento 3 del conjunto de partida no está relacionado. Los pares ordenados son:  j {(1,-2),(2,-1),(4,-4)}

f. En la relación si es función porque todos los elementos del conjunto de partida tienen una sola imagen. Los pares ordenados son:  j {(1,R),(2,J),(3,Q)}


Variable independiente y dependiente

En este caso, una variable es la cantidad o valor que puede cambiar. En el ejemplo de la frutería, tenemos dos variables en juego: la variable independiente y la variable dependiente.

La variable independiente (x) es la cantidad de paquetes de manzanas que los clientes compran, ya que su valor puede ser cualquier número. La variable dependiente (y) es el beneficio económico, porque su valor depende directamente de la cantidad de paquetes vendidos. Así, la ganancia es una función del número de paquetes que se venden.

Entonces:

variable independiente

f ( x ) = y = variable dependiente

Supongamos que en la frutería mencionada anteriormente colocan una promoción de la siguiente manera:

1 paquete de 4 manzanas por el precio de $5000

La expresión matemática:

f ( x ) = 5000x        o              y = 5000x

Donde:

“ x ”   es el paquete de 4 manzanas, es decir, es la variable independiente.

“ y ”  es el dinero por la venta que depende de las cantidades de paquetes de manzanas vendidas, entonces a esta letra se le llama variable dependiente.

“ f ( x ) ”  esta expresión significa que la variable dependiente está en función a la variable independiente.

Para resumir todo:

La variable independiente la llamamos  “variable”  y

La variable dependientefunción


Dominio y rango 

El dominio de una función es el conjunto de todas las primeras componentes (x) de los pares ordenados, mientras que el rango es el conjunto de todas las segundas componentes (y).

Par ordenado

Observa la siguiente imagen. Allí se ilustra cómo la función, representada como un conducto, toma un valor del dominio (el conjunto de entrada) y lo transforma en un valor del rango (el conjunto de salida). El resultado de esta transformación es un par ordenado.

Dominio y rango1


Función real de variable real

Es una relación matemática en la que tanto la variable independiente (x) como la variable dependiente (y) solo pueden tomar valores que pertenecen al conjunto de los números reales (R). En otras palabras, el dominio y el rango de la función son subconjuntos de los números reales.

Cuando se evalúa una función y el resultado no es un número real, entonces es indeterminada o indefinida en un punto específico. Esto ocurre en casos como la división por cero o la raíz cuadrada de un número negativo, que no tienen una solución dentro del conjunto de los números reales (R). Por ejemplo:$$f(x)=\sqrt{-3}$$


Laboratorio de las funciones

¡Llegó el momento de poner toda la teoría en práctica! Prepárate para experimentar con las funciones como si estuvieras en un laboratorio. A continuación, encontrarás una simulación interactiva de PhET, el Generador de Funciones, que te permitirá aprender jugando. Podrás manipular variables, observar cómo cambia la gráfica en tiempo real y entender la relación entre una fórmula y su representación visual. ¡Es la herramienta perfecta para dominar las funciones de una forma divertida y totalmente visual!


Restricciones del dominio

El dominio de una función se restringe cuando existen valores de la variable independiente (x) que, al ser evaluados, producen un resultado indeterminado o que no pertenece al conjunto de los números reales (R). En otras palabras, estos valores no son parte del dominio porque la función no está definida para ellos

Existen 3 tipos de restricciones en el dominio, ellos son:

I. Raíces de índices par

Para que la función$$f(x)=\sqrt{x+2}$$

Sea un número real, la expresión dentro de la raíz cuadrada no puede ser negativa.

Una raíz con índice par solo está definida para valores mayores o iguales a cero. Por lo tanto, para que el resultado no sea indeterminado, la cantidad subradical debe cumplir con la siguiente condición:
$$x+2\geq 0$$
$$x\geq -2$$

Dominio de la función$$D_{f}=[-2,\infty ]$$

II. Fracciones donde se anula el denominador

En la función$$f(x)=\frac{5}{x+1}$$

Existe una restricción en el denominador, ya que este debe ser diferente a cero. $$x+1\neq 0$$
$$x\neq -1$$

El dominio de la función es:

Dominio

III. Fracciones donde se anula el denominador con raíces de índices par

Para estos de expresiones$$f(x)=\frac{\sqrt{x+1}}{x}$$

Debes considerar dos reglas tipos de restricciones:

  1. La raíz cuadrada con índice par.
  2. Fracciones que anulan el denominador.

Restricción del numerador:$$x+1\geq 0$$
$$x\geq -1$$

Restricción del denominador:$$x\neq 0$$

La solución es combinar las restricciones.

El dominio de la función es$$D_{f}=[-1,\infty )$$


Ejemplo

Graficar las siguientes relaciones teniendo en cuenta el intervalo especificado para “x” y determinar el dominio, rango e indicar cuáles de ellas son funciones

a.  F = {(x,y) / y = x∧ 0 ≤ x < 3}

b. G = {(x,y) / y– x =2}


Solución

función ejemplo

Tabla de valores

Función

Para graficarla, primero traza cada par ordenado en el plano cartesiano y luego une los puntos para formar una curva suave. Para que la curva quede correctamente puedes utilizar la plantilla de Burmester.

Una vez que tengas la gráfica, aplica la prueba de la línea vertical para verificar si la expresión es una función. Si cualquier línea vertical que traces sobre la curva la toca en un solo punto, entonces la expresión dada es una función.

Función

El dominio de la función es:$$D_{f} =[0,3)$$

Rango:$$R_{f} =[0,9)$$


Solución

función ejemplo2

$$y=\pm \sqrt{x+2}$$

Tabla de valores

Se grafica cada punto y luego se aplica la prueba de la línea vertical para saber si es función.

Función

No es función porque la línea vertical toca dos puntos de la curva.

Dominio$$D_{f} =[-2,\infty )$$

Rango$$R_{f} =\mathbb{R}$$


Clasificación de las funciones

Las funciones se pueden clasificar según cómo se relacionan los elementos de su dominio con los de su rango. Esta clasificación permite conocer el comportamiento de una función y se clasifican en 3:

I. Inyectivas

Llamadas también uno a uno. Este tipo de función los elementos de partida deben ser distintos y también sus imágenes.

Ejemplo, observa el siguientes conjunto de pares ordenados:  F{ ( 8 , 9 ) , ( 6 , 10 ) }.

Respuesta: Es una función inyectiva ya que los elementos del conjunto de partida comparten distintas imágenes.

Otro ejemplo de inyectiva es la expresada en la siguiente imagen

Inyectiva

II. Sobreyectivas

Si el rango de la función es el mismo que el codominio es sobreyectiva.

Ejemplo:

Sobreyectiva

III. Biyectivas

Si es inyectiva y sobreyectiva a la vez.

Biyectiva


Ejemplo.

Indica el tipo de función, dominio y rango

:  [ 2 , ∞ ) → [ -1 , ∞ )

) = x– 4x + 3

Solución:

$$f(x)=ax^{2}+bx+c$$

Donde:

a = 1    b = -4    c = 3

Cálculo del vértice

$$V(x,f(x))$$
$$V\left ( -\frac{b}{2a},f(x) \right )$$
$$x=-\frac{-4}{2\cdot 1}=2$$
$$f(2)=2^{2}-4\cdot 2+3=-1$$
$$f(2)=-1$$
$$V(2-1)$$

Cálculo de las intersecciones respecto al eje “x”$$y=0$$

$$f(x)=y$$
$$0=x^{2}-4x+3$$

Se factoriza y se iguala a cero los factores, finalmente se obtiene los valores de:
$$x_{1}=1$$
$$x_{2}=3$$

Gráfica

Se grafican los puntos y se aplica el criterio de la línea vertical y horizontal.

Función

Cómo la línea vertical toca un punto de la curva, la expresión dada es función.

La línea horizontal toca un solo punto, entonces es inyectiva.

Dominio 

$$D_{f}=[2,\infty )$$

Rango

$$R_{f}=[-1,\infty )$$

Codominio

$$C_{f}=R_{f}$$

Tipo de función

Biyectiva.


Características de las funciones

Características de las funcionesMás allá de su clasificación, las funciones poseen características que dan a conocer su comportamiento y su forma gráfica.

Entre las más importantes se encuentran la simetría, su crecimiento y el decrecimiento, lo cual indica si sus valores aumentan o disminuyen a medida que se mueve de izquierda a derecha en el eje horizontal.


Simetría

La simetría es una de las características más interesantes de las funciones ya que revela si la curva posee una simetría axial (respecto a un eje) o central (respecto a un punto). Existe dos tipos de simetría y son llamadas:


I. Función par

Una función es par cuando la curva es simétrica respecto al eje y. Esta simetría es comprobable cuando se sustituye la variable x por -x en la función dada, generando la misma función original. Esto se expresa como:$$f(x)=f(-x)$$

Ejemplo. Determine si es par la siguiente función

$$f(x)=x^{2}+1$$

Solución:

Sustituir ( -x ) en la función:

f ( –) = ( -x )2 +1

f ( –) = x+1

Compara el resultado x+1  y la función dada. Ambas expresiones son iguales.$$x^{2}+1=x^{2}+1$$

Por lo tanto la función ) = x+1 es Par.


II. Función impar

Es una simetría central ya que es con respecto al origen del plano cartesiano. Analíticamente al sustituir “ -x ” la función debe dar negativa, satisfaciendo la relación:$$f(-x)=-f(x)$$

Ejemplo. Dada la función ) = x3, determine si es una función impar.

Solución:

Sustituir ( -x ) en la función, quedando:

f ( –) = ( -x )3 

f ( –) = –x3

Es es una función Impar, ya que cumple la relación:$$f(-x)=-f(x)$$


Crecientes

 Es creciente en un intervalo, si:

               xxpor lo tanto (x1) < (x2)
Función

Entonces, si en un intervalo aumenta el dominio y el rango o disminuyen ambos, la función es creciente específicamente en ese intervalo.


Decrecientes

Una función es decreciente en un intervalo si, a medida que los valores de x aumentan, los valores de y (o f(x)) disminuyen.

 xxpor lo tanto (x1) > (x2)
Función


Funciones elementales

Las funciones elementales son las herramientas básicas de la matemática. A partir de ellas, se construyen funciones más complejas a través de operaciones como la suma, resta, multiplicación, división, potencias y raíces. Por esta razón, son esenciales para modelar una gran variedad de fenómenos en campos como la ciencia, la ingeniería y la economía. Ellas son:

  1. Funciones polinómicas
  2. Funciones racionales
  3. Funciones radicales
  4. Funciones trascendentes.
  5. Funciones especiales

Funciones racionales

Cuando se presenta de la siguiente manera  ) = ) / )  es una función racional, donde ) y ) son polinomios.

Pasos para graficarla
  1. Factorizar si se puede.
  2. Determinar las raíces ( o cero) del numerador y del denominador los valores para lo cual la función no está definida.
  3. Hallar las asíntotas verticales, si existen.
  4. Hallar el intercepto con el eje “ ”, es decir = 0
  5. Determinar la asíntota horizontal, si existe.
  6. Crear la tabla de valores para obtener los puntos suficientes y así dibujar una buena curva.
Ejemplo. 

Grafica y determina el dominio y rango de la función racional$$f(x)=\frac{x^{2}+x-2}{x^{2}+3x+2}$$

Solución

Factorización

$$f(x)=\frac{(x-1)\cdot (x+2)}{(x+1)\cdot (x+2)}$$

$$f(x)=\frac{x-1}{x+1}$$

La función posee un hueco (discontinuidad removible o evitable) en x = -2

El punto del hueco es P(-2,3)

Raíces (numerador y denominador)

x – 1 = 0 ⇒ = 1

x + 1 = 0 ⇒ = -1

Asíntotas verticales

= -1

Intercepto con el eje “y”

= 0

$$f(x)=y$$

$$y=\frac{0-1}{0+1}=-1$$
$$y=-1$$

Asíntota horizontal

Como el grado del polinomio del numerador y del denominador son iguales a 1, entonces la función tiene una asíntota horizontal.

= 1

Tabla de valores

Partiendo del dato de la asíntota vertical  = -1 se crea la tabla de valores

Gráfica

Dominio

Dom f  = ℜ – { -2, -1 }

Rango

Rgo f  = ℜ – { 1, 3 }


Funciones radicales

Son funciones que están expresadas por medio de una raíz. El dominio de este tipo de funciones depende directamente del índice de la raíz, lo que las clasifica en dos tipos principales:

el índice es un número par, la función no está definida en los valores de para los cuales el radicando es negativo. Para que la esté definida es necesario que la cantidad subradical sea mayor o igual a cero es decir aplicar una restricción del dominio.

el índice es un número impar, el radicando puede ser cualquier número real (positivo, negativo o cero). La función está definida para todo el conjunto de los números reales. Sin embargo, se deben considerar las restricciones que existan dentro del radicando (por ejemplo, si este contiene un polinomio en el denominador).


Pasos para graficar una función radical

I. Se evalúa si posee índice par o impar.

Si la expresión viene dada en forma racional se determina en el numerador las raíces o los intercepto con el eje “ x ” y en el denominador los valores para los cuales la función no está definida.

Si es un radical con índice par y con una cantidad subradical en forma racional polinómica, se tiene que determinar el intervalo donde la función no está definida, para esto la expresión subradical debe ser mayor o igual que cero, luego el siguiente paso es resolver la inecuación racional.

II. Determina las asíntotas verticales, si existe.

III. Hallar el intercepto con el eje “ ”.

IV. Determinar las asíntotas horizontales, si existe.

V. Crear la tabla de valores para obtener los puntos suficientes y así dibujar una buena curva.


Ejemplo 1.

Graficar y determinar dominio y rango de la función radical$$f(x)=\sqrt{\frac{2x+1}{3}}$$

Solución

Se aplica restricción para determinar el dominio.
$$\frac{2x+1}{3}\geq 0$$
$$2x+1\geq 0$$
$$2x\geq -1$$
$$x\geq -\frac{1}{2}$$

Dominio

Dom f  =  [ -1/2, ∞ )

Intercepto con el eje y

x = 0

$$y=\sqrt{\frac{2.0+1}{3}}$$
$$y=\sqrt{\frac{1}{3}}$$
$$y=\frac{1}{\sqrt{3}\cdot}\cdot \frac{\sqrt{3}}{\sqrt{3}}=$$
$$y=\frac{\sqrt{3}}{3}$$

Tabla de valores

Gráfica

Rango

Rgo f  = [ 0, ∞ )


Ejemplo 2.

Graficar y determinar el dominio y rango de la función radical$$f(x)=\frac{2}{\sqrt[4]{x+3}}$$

Es una función racional, con una raíz en el denominador de índice par.
Por estar en el denominador debe ser mayor que cero.
Y se evalúa los valores para los cuales la función no está definida

$$x+3> 0$$
$$x> -3$$

Es una función racional, pero el denominador es un radical por lo tanto no posee asíntotas verticales.

Intercepto con el eje y

x = 0

$$f(x)=y$$
$$y=\frac{2}{\sqrt[4]{0+3}}$$
$$y=\frac{2}{\sqrt[4]{3}}\cdot \frac{\sqrt[4]{3^{3}}}{\sqrt[4]{3^{3}}}$$
$$y=\frac{2\cdot \sqrt[4]{3^{3}}}{3}$$
$$y=\frac{2\cdot \sqrt[4]{27}}{3}$$
$$y\approx 1,52$$

Asíntota horizontal

Posee una asíntota horizontal ya que el grado del polinomio de la cantidad subradical es mayor que la del numerador.

Tabla de valores

$$x$$$$f(x)$$
$$-2$$$$2$$
$$-1$$$$\sqrt[4]{8}$$
$$0$$$$y=\frac{2\cdot \sqrt[4]{27}}{3}$$
$$1$$$$\sqrt{2}$$

 

Gráfica

Dominio

Dom f  =  ( -3, ∞ )

Rango

Rgo f  = ( 0, ∞ )


Ejemplo 3.

Graficar y determinar el dominio y rango de la función radical$$f(x)=\frac{\sqrt[3]{3x-1}}{x^{2}-1}$$

Solución

  • Es una función racional, con una raíz en el numerador de índice impar.
  • Se evalúa los valores para los cuales la función no está definida

$$x^{2}-1\neq 0$$
$$x^{2}\neq 1$$
$$x\neq \sqrt{1}$$
$$x\neq \pm 1$$

No esta definida para valores$$x\neq \pm 1$$

Intercepto con el eje “ x ”  y = 0

$$f(x)=y=0$$
$$0=\frac{\sqrt[3]{3x-1}}{x^{2}-1}$$
$$0=\sqrt[3]{3x-1}$$
$$0=3x-1$$
$$x=\frac{1}{3}$$

Intercepto con el eje “ y ”  x = 0

$$f(x)=y$$
$$y=\frac{\sqrt[3]{3\cdot 0-1}}{0^{2}-1}$$
$$y=1$$

Asíntotas verticales

$$x = 1$$
$$x = -1$$

Asíntota horizontal

Posee una asíntota horizontal en el eje “ ” ya que el grado del polinomio de la cantidad subradical del numerador es menor que el grado del polinomio del denominador.$$y=0$$

Dominio

Dom f  =  ℜ – { – 1, 1 }

Rango

Rgo f  =  ℜ

Tabla de valores

$$x$$$$f(x)$$
$$-4$$$$\frac{\sqrt[3]{-13}}{15}$$
$$-3$$$$\frac{\sqrt[3]{-10}}{8}$$
$$-2$$$$\frac{\sqrt[3]{-7}}{3}$$
$$-\frac{6}{5}$$$$\frac{25\sqrt[3]{-\frac{23}{5}}}{11}$$
$$-\frac{4}{5}$$$$-\frac{25\sqrt[3]{-\frac{17}{5}}}{9}$$
$$0$$$$1$$
$$\frac{4}{5}$$$$-\frac{25\sqrt[3]{\frac{7}{5}}}{9}$$
$$\frac{6}{5}$$$$\frac{25\sqrt[3]{\frac{13}{5}}}{11}$$
$$2$$$$\frac{\sqrt[3]{5}}{3}$$
$$3$$$$\frac{\sqrt[3]{8}}{3}$$

Gráfica

Función


Ejemplo 4.

Grafique y determina el dominio y rango$$f(x)=\sqrt{\frac{x+3}{3x-2}}$$

Solución:

Se evalúa los valores para los cuales la función no está definida

$$\frac{x+3}{3x-2}\geq 0$$
$$3x-2\neq 0$$

Igualar el numerador y el denominador a cero para encontrar los puntos críticos que dividen la recta real en intervalos

$$x+3=0$$
$$x=-3$$

$$3x-2=0$$
$$x=\frac{2}{3}$$

Estudio del signo

estudio del signo

Asíntota vertical 

$$x=\frac{2}{3}$$

Asíntota horizontal

Posee asíntota horizontal (Cuando el grado del numerador = grado del denominador)

$$y=\frac{\sqrt{3}}{3}$$

Intercepto con el eje y

$$f(x)=y$$
$$y=\sqrt{\frac{0+3}{3\cdot 0-2}}$$
$$y=\infty $$

La curva no toca el eje y

Intercepto con el eje x

$$f(x)=y=0$$
$$0=\sqrt{\frac{x+3}{3x-2}}$$
$$x+3=0$$
$$x=-3$$

La curva toca el eje por el punto (-3,0)

Dominio

$$D_{f}=( -\infty , -3]\cup ( 2/3 , \infty )$$

Rango

$$R_{f}=\left [ 0,\frac{\sqrt{3}}{3} \right )\cup \left ( \frac{\sqrt{3}}{3},\infty \right )$$

Tabla de valores

tabla de valores ejemplo4

Gráfica

Función


Operaciones con funciones

Las funciones pueden combinarse una con otras a través de las operaciones de la aritmética como la adición, sustracción, multiplicación y división y producir nuevas funciones.

Suma: ( f  + )( ) = ) + )

Su dominio es:

Dom ( g ) = ( Dom Dom )

Resta: ( f  –  )( ) = ) – )

Su dominio es:

Dom ( f  –  g ) = ( Dom Dom )

Multiplicación: ( f  .  )( ) = )  .  )

Su dominio es:

Dom ( f  .  g ) = ( Dom Dom )

División: ( f  / )( ) = )  /  )

Su dominio es:

Dom ( f  / g ) = { ∈ ( Dom ∩  Dom g) / ) ≠ 0 }


Ejemplo.

Calcule la suma, diferencia, producto y el cociente de f  y  g  y el dominio de cada función resultante.

Función

Dominios resultante de cada operación:

Suma: Dom ( g ) = [ -3/2 , ∞ )

Resta: Dom ( f  –  g ) = [ -3/2 , ∞ )

Multiplicación: Dom ( f  .  g ) = [ -3/2 , ∞ )

División: Dom ( f  / g ) = [ -3/2 , ∞ )


Actividades


Parte I

I. Determine si en cada planteamiento es una función. En caso de no serlo, proponer un ejemplo que muestre la situación.

a. El comportamiento de una bacteria está determinado por la expresión:

$$y=5e^{x}$$

b. Las muestras de sangre de un cultivo se describen por las parejas:

( 2 , 4), ( 4 , 8 ), ( 5 , 10), ( 6 , 12), ( 7 , 14 )

c. El valor de la producción cierta cantidad de cuadernos está dado por las parejas:

( 1 , 500 ),  (2,600), ( 3 , 700 ), ( 4 , 800).

d. El movimiento de un cuerpo está dado por la expresión:

$$f=\frac{-47t^{2}}{2}$$

e. La cantidad de hombres que realizan un trabajo en cierto número de días es determinado por la expresión:

$$y=\frac{45}{x}$$

II. Construir una tabla de valores para cada función y su gráfica.

Actividad 2

III. Diga cuáles de las siguientes curvas representan una función.

Gráfica # 1

Gráfica # 2

 

IV. Calcula el valor de la función$$f(x)=\frac{3}{2}x^{2}-6$$
Para cada valor dado

Actividad 4


Parte II

I. Determine el dominio, rango, vértice, puntos de cortes, tabla de valores y gráfica de las siguientes funciones:

$$f(x)=6x^{2}-7x-3$$
$$f(x)=2x^{2}+3x-2$$
$$f(x)=x^{2}-9x+8$$
$$f(x)=-x^{2}-x+3$

II. Hallar el dominio, rango, interceptos, asíntotas, tabla de valores y gráfica de las siguiente funciones

$$f(x)=\frac{1}{x^{2}+1}$$
$$f(x)=\frac{x+4}{x+3}$$

III. Hallar el dominio y el rango de las funciones cuyas gráficas se muestran a continuación. Determinar la ecuación que corresponda con cada gráfica.

Gráfica # 1

Gráfica # 2


Parte III

I. El valor de cada lápiz en un establecimiento es de $1500.

a. ¿La situación planteada describe una función?
b. Escribe la expresión algebraica que representa la función
c. Hallar el dominio y el rango de la función y explicar si los valores hallados tienen sentido.

II. El cargo básico del agua es de $60 y por cada m3 utilizados se cobran $2.

a. Escribe la expresión algebraica que describe el costo que se debe pagar en función a los m3 utilizados.
b. Hallar el dominio y el rango de la función

III. A continuación, se presentan diferentes formas de representación de funciones presentadas en tabla de valores, gráfica, pares ordenados. Determinar si es inyectiva, sobreyectiva o biyectiva

$$ \left{ (0,1),(2,3),(3,4),(4,5),(5,6)\right}$$

$$y=-x^{2}$$


Parte IV

I. Determinar cuáles de las siguientes funciones son inyectivas.

$$f(x)=3x-4$$
$$f(x)=x^{2}+2$$
$$f(x)=\frac{1}{x}$$

II. Problema. 

Una fábrica de gaseosas define su producción a partir de la función (x) = 5x, donde x representa los litros de gaseosas y (x) es la cantidad de unidades por litro.

a. ¿La función de producción es biyectiva?

III. El costo que establece una fábrica de zapatos está determinado mediante la función:

 $$f(x)=200x^{2}+150$$

donde es la cantidad de zapatos fabricados y  (x) es el costo en pesos de la producción.
a. Determinar si (x) es una función inyectiva.
b. Determinar si la función es biyectiva.
c. Graficar la función.

IV. Problema.

La distancia recorrida por una moto viene dada por la función (t) = 10 + 3t2, donde es el tiempo en segundos.
a. Determinar si la función es inyectiva
b. Determinar si es sobreyectiva


Parte V

I. Completa la siguiente tabla

Actividad 15

II. Analiza  y elabora la gráfica, especificando dominio, rango, puntos de cortes y asíntotas

Actividad 16

III. Analiza y elabora la gráfica, especificando dominio, rango, puntos de cortes

Actividad 17


Parte VI

I. Para cada caso, determinar el dominio de todas las funciones

Actividad 18.1Actividad 18.2

II. Dadas las funciones:  ) = 4+ 3  ∧   g ) = 4x2

Graficar:

  •   ( f  + )( )

 

  •  ( f  . )( )

 

  •  ( g  / f )( )

 

  • ( g  –  f )( )

 

  • ( f  –  g )( )

 

  • ( f  / g )( )

Inecuaciones y desigualdades: cómo resolver lineales, racionales y valor absoluto

Inecuaciones y desigualdades: cómo resolver las lineales, racionales y valor absoluto

Inecuaciones y desigualdades¿Te has preguntado qué utilidad tienen las inecuaciones y desigualdades en nuestra vida diaria? Están presentes en situaciones cotidianas, como la clasificación de edad de una película: si la restricción es «Para mayores de 16 años,» esta se traduce en la desigualdad Edad ≥ 16. Pero, ¿sabes cómo resolver problemas más complejos que involucran la misma lógica de restricción? En este post, te mostraré de ese simple ejemplo hasta el dominio total de las inecuaciones lineales, racionales y con valor absoluto, enseñándote el método paso a paso para que puedas solucionar cualquier desigualdad matemática que se te presente.


Inecuaciones

Las inecuaciones son expresiones algebraicas que incluye una desigualdad, determinando un conjunto de valores.

Inecuaciones y desigualdades


Desigualdades

Inecuaciones y desigualdadesLas desigualdades son relaciones que permite comparar dos cantidades y determinar si una es mayor, menor, mayor o igual, o menor o igual que la otra.
A diferencia de una igualdad, donde las dos expresiones son equivalentes, en una desigualdad las expresiones no son necesariamente iguales, sino que establece una relación de orden entre ellas.

Sus símbolos son:

$$>\; \left ( mayor\;que \right )$$
$$\leq \left ( menor\;que \right )$$
$$\geq \left ( mayor\;o\;igual\;que \right )$$
$$\leq \left ( menor\;o\;igual\;que \right )$$

Ejemplo:

$$15+3>16$$

Las desigualdades se clasifican en:

  • Desigualdades estrictas.
  • Desigualdades no estrictas.

Principales propiedades de las desigualdades

Las propiedades de las desigualdades ayudan a trabajar con las inecuaciones e aquí algunas de ellas:


  • Propiedad #1: Si ambas partes de una desigualdad se multiplican (o dividen) por una misma cantidad negativa, la desigualdad cambia de sentido. Ejemplo:
En la multiplicaciónEn la división
$$10>6$$$$-12<18$$
$$10(-1)<6(-1)$$$$\frac{-12}{-2}> \frac{18}{-2}$$
$$-10<-6$$$$6>-9$$

  • Propiedad #2: Si ambas partes de una desigualdad se multiplican (o dividen) por una misma cantidad positiva, la desigualdad No cambia de sentido. Ejemplo:$$10>8$$
En la multiplicaciónEn la división
$$5>4$$$$5>4$$
$$5(2)>4(2)$$$$\frac{5}{2}< \frac{4}{2}$$
$$10>8$$$$\frac{5}{2}> 2$$

  • Propiedad #3: Si ambas miembros de la desigualdad son positivos y se eleva a un exponente impar  positivo  No cambia el sentido de la desigualdad. Ejemplo:

$$-3<1$$
$$(-3)^{3}<(1)^{3}$$
$$-27<1$$


  • Propiedad #4: Si ambos miembros de la desigualdad son de distintos signos y al elevarse a un exponente par  positivo, cambia el sentido de la desigualdad o también puede convertirse en una igualdad. Ejemplo:

$$-4<3$$
$$(-4)^{2}>(3)^{2}$$
$$16>9$$

Otro ejemplo:

$$4>-4$$
$$(4)^{2}=(-4)^{2}$$
$$16=16$$


  • Propiedad #5: Si ambos lados de la desigualdad son del mismo signo, los inversos producen una desigualdad de sentido opuesto. Ejemplo:

$$9< 10$$
$$\frac{1}{9}> \frac{1}{10}$$


Soluciones de una inecuación

Los valores que satisfacen una ecuación es llamado soluciones, raíces o ceros. En una inecuación los valores de la variable que satisface a dicha relación es llamado soluciones.

Existe tres formas para expresar las soluciones de una inecuación y se da de forma:

  • Analítica.
  • Gráfica.
  • Intervalos.

Analítica:$$x<2$$

Gráfica:

Inecuaciones y desigualdades

Intervalos:$$(k, \infty)\;;\;[k, \infty)\;;\;[k, l]$$


¿Cómo expresar las soluciones de las inecuaciones con desigualdades estrictas y no estrictas?

Las soluciones de una inecuación pueden expresarse mediante desigualdades estrictas ( < , > ), cuando el valor límite no se incluye en la solución, o mediante desigualdades no estrictas ( ≤ , ≥ ) cuando el valor límite sí forma parte de la solución.

Estas expresiones permiten indicar de forma precisa el conjunto de valores que cumplen la condición dada.

Desigualdades Estrictas

Cuando la solución analítica utiliza los signos menor que ( < ) o mayor que ( > ), el valor del extremo no está incluido.

En la solución gráfica se dibuja un círculo abierto (O) sobre el punto.

Para la solución de Intervalos se utilizan paréntesis (  ,  ) en los extremos.

Desigualdades No Estrictas

Cuando la solución analítica utiliza los signos menor o igual que (≤) o mayor o igual que (≥), el valor del extremo sí está incluido.

Para la gráfica se dibuja un círculo cerrado (o punto sólido) sobre el punto.

En el intervalo se utilizan corchetes [  ,  ] en los extremos incluidos.

Nota: El corchete y el paréntesis se combinan para intervalos mixtos, como [a, b), (a, b], o se usan solo corchetes para intervalos cerrados, [a, b].


Ejemplos de soluciones de inecuaciones según las desigualdades

Son cuatro situaciones que te ayudarán a comprender mejor la representación de las soluciones de las inecuaciones según los tipos de desigualdades (estrictas y no estrictas).


Situación#1

Analítica

$$x>k$$

La solución de la inecuación está formada por todos los números reales mayores que k.

Gráfica

Inecuaciones y desigualdades

Para representar gráficamente la solución que incluye todos los valores mayores que k ( x > k ), se utiliza un círculo abierto (O) sobre el punto k (para indicar que k no está incluido) y se extiende con una flecha o sombreado hacia la derecha.

Intervalo

$$( k , \infty )$$

Se utilizan paréntesis ( a, b ) en ambos extremos para definir un intervalo abierto, lo cual indica que los valores de los extremos no están incluidos en la solución.


Situación#2

Analítica

$$x<k$$

La solución de la inecuación está formada por todos los números reales menores que k.

Gráfica

Inecuaciones y desigualdades

Para representar en la gráfica los valores menores que k (o x < k), se dibuja un círculo abierto (O) sobre el punto k y se traza una flecha o sombreado dirigido hacia la izquierda.

Intervalos

$$( – \infty, k )$$

Se utilizan paréntesis ( a, b ) en ambos extremos para definir un intervalo abierto. Esto significa que la solución está formada por todos los números reales menores que k:

  • El símbolo −∞  indica que el intervalo se extiende indefinidamente hacia la izquierda.
  • El paréntesis en k muestra que el valor k no está incluido en la solución.

Situación#3

Analítica

$$x \geq k$$

La desigualdad xk  indica que el conjunto solución está formado por todos los números reales mayores o iguales a k.

Gráfica

Inecuaciones y desigualdades

Para representar la solución gráfica de xk, se dibuja un círculo cerrado (o punto sólido) sobre el valor k (para indicar que k está incluido) y se extiende el sombreado o una flecha hacia la derecha.

Intervalos

$$[k,  \infty )$$

Se expresa mediante:

  • El corchete en k significa que el valor k está incluido.
  • El paréntesis en ∞ indica que el intervalo se extiende indefinidamente y no incluye al infinito.

Situación#4

Analítica

$$x \leq k$$

La desigualdad xk indica que el conjunto solución está formado por todos los números reales menores o iguales a k.

Gráfica

Inecuaciones y desigualdades

Se dibuja un círculo cerrado (o punto sólido) sobre el valor k (ya que está incluido) y se traza un sombreado o flecha que se dirige hacia la izquierda.

Intervalos

$$( -\infty , k ]$$

Significado:

  • El paréntesis en −∞ indica que el intervalo se extiende indefinidamente hacia la izquierda.
  • El corchete en k significa que el valor k está incluido en la solución.

Intervalos

Un intervalo es un subconjunto del conjunto de los números reales (ℜ) que incluye todos los valores comprendidos entre dos extremos. Gráficamente, se representan sobre la recta numérica como un segmento o una semirrecta.

Existen dos tipos principales de intervalos:

Intervalos Acotados: Son aquellos que tienen dos extremos definidos por números reales y, por lo tanto, tienen un principio y un fin. Gráficamente, se representan como un segmento.

Intervalos No Acotados: Son aquellos que se extienden indefinidamente hacia el infinito positivo (+∞) o el infinito negativo (−∞). Gráficamente, se representan como una semirrecta o la recta real completa.


Notación y clasificación de intervalos en la recta real

La representación de un conjunto de números reales en la recta numérica se realiza a través de los intervalos.

Aquí aprenderás su notación (paréntesis o corchetes), su clasificación (acotados o no acotados) y su traducción gráfica, elementos esenciales para resolver cualquier tipo de inecuación.


Intervalos No Acotados

[ , +∞ )

Inecuaciones y desigualdades

Intervalo infinito a la derecha.


, +∞ )

Inecuaciones y desigualdades

Intervalo infinito a la derecha sin incluir el extremo.


( -∞ , k ]

Inecuaciones y desigualdades

Intervalo infinito por la izquierda.


( -∞ , k )

Inecuaciones y desigualdades

Intervalo infinito por la izquierda sin incluir el extremo.


( -∞ , )

Inecuaciones y desigualdades

Intervalos infinitos por la izquierda y derecha.

Llamado también:

Para todo valor real ℜ.


Intervalos Acotados

( k , l )

Inecuaciones y desigualdades

Intervalo abierto.


[ l )

Inecuaciones y desigualdades

Intervalo semiabierto por la derecha.


kl ]

Inecuaciones y desigualdades

Intervalo semiabierto por la izquierda.


k]

Inecuaciones y desigualdades

Intervalo cerrado


Inecuaciones lineales

Las inecuaciones lineales son el tipo más sencillo de desigualdades. Se caracterizan por tener un grado de exponente uno x1 en sus variables y se resuelven de manera muy similar a las ecuaciones de primer grado, usando las operaciones básicas (suma, resta, multiplicación y división).

El objetivo es despejar la incógnita para encontrar el conjunto de valores que satisfacen la desigualdad, en lugar de un único punto de solución.


Ejemplo # 1: Determinar la inecuación lineal

$$4x-\frac{1}{3}\leq 3x+\frac{1}{6}$$

Solución

$$4x-\frac{1}{3}\leq 3x+\frac{1}{6}$$
$$4x-3x\leq \frac{1}{6}+\frac{1}{3}$$
$$x\leq \frac{1}{2}$$

Inecuaciones y desigualdades

$$\left ( -\infty ,\frac{1}{2} \right )$$


Ejemplo # 2: Calcular la inecuación lineal

$$\frac{9x-5}{4}+3< \frac{7x+1}{3}+1$$

Solución

$$\frac{9x-5}{4}+3< \frac{7x+1}{3}+1$$
$$\frac{9x-5}{4}-\frac{7x+1}{3}< -3+1$$
$$\frac{3(9x-5)-4(7x+1)}{12}< -2$$
$$27x-15-28x-4< -24$$
$$-x-19< -24$$
$$-x< -5$$
$$x> 5$$

Inecuaciones y desigualdades

$$\left ( 5,\infty \right )$$


Sistema de inecuaciones lineales

Un sistema de inecuaciones está formado por dos o más desigualdades que deben resolverse de manera simultánea. El objetivo es encontrar el valor o el conjunto de valores de «x» que satisfacen a cada una de las inecuaciones. Para hallar la solución final, se resuelve cada inecuación por separado y, posteriormente, se analiza la intersección de los intervalos obtenidos (generalmente mediante una gráfica). Esta intersección representa las soluciones comunes a todas las desigualdades del sistema.

Ejemplo # 1: Resolver el sistema de inecuación lineal

Inecuaciones y desigualdades

Solución

1° Inecuación

$$3x-6> 12$$
$$3x> 12+6$$
$$3x> 18$$
$$x> \frac{18}{3}$$
$$x> 6$$

Intervalo abierto: ( 6 , ∞ )

2° Inecuación

$$2x-7> 5$$
$$2x> 5-7$$
$$2x> -2$$
$$x> -\frac{2}{2}$$
$$x\leq -1 6$$

Intervalo infinito a la izquierda: ( -∞ , -1 ]

Inecuaciones y desigualdades

Solución común no existe, por lo tanto es:

S = Ø


Ejemplo # 2: Determinar el siguiente sistema de inecuación lineal

Inecuaciones y desigualdades


Solución

1° Inecuación

$$\frac{x-4}{5}-\frac{x-2}{2}\leq 5-\frac{x-3}{4}$$
$$\frac{x-4}{5}-\frac{x-2}{2}+\frac{x-3}{4}\leq 5$$
$$\frac{4(x-4)-10(x-2)+5(x-3)}{20}\leq 5$$
$$4x-16-10x+20+5x-15\leq 100$$
$$-x-11\leq 100$$
$$x\geq -111$$

Intervalo infinito a la derecha: [ -111 , ∞ )

2° Inecuación

$$\frac{2x-3}{7}+3x> 14-\frac{2x+3}{5}$$
$$\frac{2x-3}{7}+3x+\frac{2x+3}{5}> 14$$

$$\frac{5(2x-3)+35(3x)+7(2x+3)}{35}> 14$$

$$10x-30+105x+14x+21>490$$
$$129x-9>490$$
$$129x> 499$$
$$x> \frac{499}{129}$$
$$\frac{499}{129}\approx 3,86$$

Intervalo infinito a la derecha sin incluir el extremo: $$\left ( \frac{499}{129},\infty \right )$$

Inecuaciones y desigualdades

Si existe intersección es decir solución común:$$ S=\left ( \frac{499}{129},\infty \right )$$


Ejemplo # 3: Solucionar el sistema de inecuación lineal

Ejemplo3 sistemadeecuaciones


Solución

1° Inecuación

$$\frac{3x-3}{2}-\frac{2-6x}{3}> x$$
$$\frac{3x-3}{2}-\frac{2-6x}{3}-x> 0$$
$$\frac{3(3x-3)-2(2-6x)-6x}{6}> 0$$
$$9x-9-4+12x-6x> 0$$
$$15x-13> 0$$
$$15x> 13$$
$$x> \frac{13}{15}$$
$$\frac{13}{15}\approx 0,87$$
$$x>0,87$$

Intervalo infinito a la derecha: ( 13/15 , ∞ )

2° Inecuación

$$\frac{x+1}{4}+\frac{x-4}{3}\leq \frac{x+5}{2}$$
$$\frac{x+1}{4}+\frac{x-4}{3}-\left ( \frac{x+5}{2} \right )\leq 0$$
$$\frac{3(x+1)+4(x-4)-6(x+5)}{12}\leq 0$$
$$3x+3+4x-16-6x-30\leq 0$$
$$x-43\leq 0$$
$$x\leq43 $$

Intervalo infinito a la izquierda: (-∞ , 43]

3° Inecuación

$$\frac{2-2x}{3}-\frac{5x-15}{2}\geq 1$$
$$\frac{2(2-2x)-3(5x-15)}{6}\geq 1$$
$$4-4x-15x+45\geq 6$$
$$-19x+49\geq 6$$
$$-19x\geq 6-49$$
$$-19x\geq -43$$
$$19x\leq 43$$
$$x\leq \frac{43}{19}$$
$$\frac{43}{19}\approx 2,26$$
$$x\leq 2,26$$

Intervalo infinito a la izquierda: ( -∞ , 43/19 ]

Gráfica

Existe intersección: ( -∞ , 13/15 )


Inecuaciones con valor absoluto

Las inecuaciones con valor absoluto representan un caso especial de las desigualdades, ya que exigen que la distancia de una expresión a cero cumpla con ciertas restricciones. Resolver estas inecuaciones requiere transformar la expresión inicial en dos o más desigualdades simples, eliminando el valor absoluto y analizando tanto el caso positivo como el caso negativo, para finalmente encontrar el conjunto de valores que satisfacen la condición.

Imagen 1 valor absoluto2

k ” es un número real, el valor absoluto de “ k ” es el valor positivo del mismo, se escribe | |  y se lee: valor absoluto de “ k ”.

La distancia    y    poseen la misma distancia que es igual a k, por lo tanto el valor absoluto puede definirse como la distancia    = 

El valor absoluto de una cantidad es calculado como se muestra:

| k | = k     k > 0

| = –k     k < 0

Ejemplo:

Los valores que satisfacen la ecuación elemental  | | = k   es

x = k     y    x = –k

Es lo mismo decir:  = ± k

Mira el siguiente ejemplo: Resolver la siguiente ecuación  | | = 10

El resultado es:   = ± 10

La ecuación elemental | | = k  también es aplicable a expresiones polinómicas, como por ejemplo la siguiente:


Forma de presentación de las inecuaciones con valor absoluto 

Las inecuaciones con valor absoluto puede presentarse de dos formas.

  • Forma # 1: Es cuando | Q(x) | < k . Este tipo de forma su desigualdad es el signo <  o  ≤ , y representa un sistema. Por ser un sistema su solución pertenece a una intersección  de los conjuntos solución. Su expresión sería:

  • Forma # 2: Es cuando . Este tipo de forma su desigualdad es el signo >  o  ≥ , y no representa un sistema es una agrupación. Por ser un agrupación su solución pertenece a una unión  de los conjuntos solución. Su expresión sería:


Ejemplo # 1: Resolver la inecuación con valor absoluto

$$|6 – x| < 13$$


Solución

Observa que pertenece a la forma # 1 y por lo tanto la solución será una intersección.

$$|6 – x| < 13$$
$$-6 – 13 < -x < 13 – 6$$
$$-19 < -x < 7$$
$$19 > x > -7$$

Gráfica

Intervalo

$$\left ( -7,19 \right )$$


Ejemplo # 2: Determinar la inecuación con valor absoluto

$$\left|\frac{6 – 4x}{5}\right| > 15$$


Solución

Pertenece a la forma # 2 y por lo tanto la solución será una unión.

$$\left|\frac{6 – 4x}{5}\right| > 15$$
$$-15 > \frac{6 – 4x}{5} > 15$$
$$-75 > 6 – 4x > 75$$
$$-6 – 75 > -4x > 75 – 6$$
$$-81 > -4x > 69$$
$$81 < 4x < -69$$
$$\frac{81}{4} < x < \frac{-69}{4}$$
$$\frac{81}{4} = 20,25$$
$$\frac{-69}{4} = -17,25$$
$$20,25 < x < -17,25$$

Intervalo

$$(-\infty, -\tfrac{69}{4}) \cup \left(\tfrac{81}{4}, \infty\right)$$

Gráfica


Inecuaciones racionales

Las inecuaciones raciones son desigualdades que poseen un polinomio en el numerador y otro en el denominador. La forma es la siguiente:$$\frac{P(x)}{Q(x)} > 0 \quad \land \quad \frac{P(x)}{Q(x)} < 0$$

Ambos polinomios son de exponentes enteros y positivos

La solución pertenece a una intersección  de los conjuntos solución o parte en común entre ellos.


Ejemplo # 1: Solucionar la inecuación racional

$$\frac{4}{3x – 8} > 0$$


Solución

Según la expresión, la fracción tiene que ser positiva el numerador también lo es, esto quiere decir que el denominador debe ser positivo para que la fracción lo sea.

$$3x – 8 > 0$$
$$3x > 8$$
$$x > \frac{8}{3}$$

Intervalo

$$\left(\tfrac{8}{3}, \infty\right)$$

Gráfica


Ejemplo # 2: Resolver la inecuación racional 

$$\frac{4x – 7}{x – 2} > 0$$


Solución

Según la expresión, la fracción debe ser positiva, por lo tanto es necesario que el numerador y el denominador tengan el mismo signo, observa:

Numerador y denominador > 0

$$4x – 7 > 0$$
$$4x > 7$$
$$x > \tfrac{7}{4}$$
$$x – 2 > 0$$
$$x > 2$$

Intervalo

$$(2, \infty)$$

Gráfica

Numerador y denominador < 0

$$4x – 7 < 0$$
$$4x < 7$$
$$x < \tfrac{7}{4}$$
$$x – 2 < 0$$
$$x < 2$$

Intervalo

$$(-\infty, \tfrac{7}{4})$$

Gráfica

Solución

$$(2, \infty) \cup (-\infty, \tfrac{7}{4})$$


Ejemplo # 3: Calcular la inecuación racional

Determine la solución de la siguiente inecuación.

$$\frac{5x – 3}{3x + 2} < 0$$


Solución

La fracción debe ser negativa; por lo tanto, es indispensable que el numerador y el denominador tengan signos diferentes. En otras palabras, uno debe ser positivo y el otro negativo. Observa el siguiente caso:

Numerador > 0 y Denominador < 0

$$5x – 3 > 0$$
$$5x > 3$$
$$x > \frac{3}{5}$$
$$3x + 2 < 0$$
$$3x < -2$$
$$x < \frac{-2}{3}$$

Intervalo

No existe parte común

S = Ø

Gráfica

Numerador < 0  y denominador > 0

$$5x – 3 < 0$$
$$5x < 3$$
$$x < \frac{3}{5}$$
$$3x + 2 > 0$$
$$3x > -2$$
$$x > \frac{-2}{3}$$

Intervalo

$$\left( -\tfrac{2}{3}, \tfrac{3}{5} \right)$$

Gráfica

Solución

$$\left( -\frac{2}{3}, \frac{3}{5} \right)$$


Actividades

Resolver:

$$x + 11 < 23$$

$$5x – 3 \leq 6$$

$$7x + 5 \geq 8$$

$$9x + 11 > -2$$

$$5x + 4 < 4x + 9$$

$$10x + 13 \geq 8x – 5$$

$$\frac{3x – 6}{9} \leq 5$$

$$\frac{x}{2} + \frac{1}{4} < -5$$

$$\frac{2x + 1}{5} + 4 > \frac{x – 7}{9} – 11$$

$$5x + \frac{1}{7} \geq \frac{4x – 15}{8}$$

$$2x – 9 < 9x + 8$$

$$(x – 3)^2 + 7 \leq (x + 1)^2 – 5$$

$$3(x – 4) + 9 – 2x \geq 4(3x – 1) + 6(x + 3)$$

$$(x – 2)^3 < x^3 – 2(3x + 1)(x – 5)$$

$$x – 6 \geq 22$$

$$\frac{x}{2} + \frac{x}{3} – \frac{x}{4} < 7$$

$$\frac{x+4}{3} – \frac{x-4}{5} \leq 2 + \frac{3x-1}{15}$$

$$\tfrac{1}{2} \left[ x – \left( 1 + \tfrac{25}{26} \right) \right] – \tfrac{2}{13}(1 – 3x) > x$$

$$(x+1)^2 > [6 – (1-x)]x – 2$$

$$\tfrac{1}{4}\left(x – \tfrac{1}{5}\right) + \tfrac{1}{2}\left(x – \tfrac{1}{3}\right) \geq \tfrac{1}{3}\left(x – \tfrac{1}{4}\right)$$

$$\tfrac{x}{2} + \tfrac{x}{3} – \tfrac{x}{4} < 7$$

$$\tfrac{x+4}{3} – \tfrac{x-4}{5} \leq 2 + \tfrac{3x-1}{15}$$

$$\tfrac{1}{2} \left[ x – \left( 1 + \tfrac{25}{26} \right) \right] – \tfrac{2}{13}(1 – 3x) > x$$

$$(x+1)^2 > [6 – (1-x)]x – 2$$

$$(5x – 2)^2 – (3x + 1)^2 \geq (4x + 5)^2$$

$$x + 5 > 3$$

Resuelva los siguientes sistemas de inecuaciones:

Resuelva:

Actividad 3

Determinar:

Actividad 4

1