¿Conoces los límites en matemáticas? Seguramente has escuchado o has visto, que alguna vía de comunicación tiene algunos límites de velocidad. Por ejemplo, observa la siguiente imagen:

Entonces ¿Qué es para ti un límite? Un límite es una referencia lo cual muestra una separación con algo.
Límites
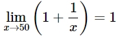
El límite es un valor donde se aproxima una función f ( x ). Observa la siguiente función:
![]()
A continuación, está la gráfica de la función y su curva tiende aproximarse a la asíntota de recta $$y=1$$ pero nunca llega a tocarla, ahora al lado derecho está su tabla de valores, fíjate que en x existen valores desde 1 hasta 50 y los valores de f ( x ) tienden acercarse a 1.
| Gráfica | Tabla de valores |
![]() | ![]() |
Los límites son expresados así:
![]()
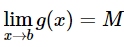
La forma correcta de leer estas expresiones es de la forma siguiente
“límite cuando x tiende a b de f ( x ) es L”
Cuando x tiende a b quiere decir que los valores de la función f ( x ) se aproximan a L .
Ahora relaciona esto con la función anteriormente graficada:
![]()
Entonces tomando los datos de la tabla de valores, observa que la variable “x” crece hasta llegar a cincuenta ( x → 50 ) es decir que los valores de x tiende a cincuenta, y la función f ( x ) se aproxima a 1 ( f ( x ) → 1 ).
Su expresión queda finalmente de la forma siguiente:

Ejemplo: Elabora la tabla de valores con números decimales expresados en centésimas y realizar la gráfica de la siguiente función:
$$f(x)=2x^{2}$$
Cuando el valor de la variable x tiende a 1
![]() | ![]() |
Los valores de la variable 0,97 ; 0,98 ; 0,99 ; son acercamientos a 1 por la izquierda; y los valores 1,03 ; 1,02; 1,01 son acercamientos a 1 por la derecha.
Luego, si x se aproxima a 1 por la izquierda y por la derecha, la función f (x) se aproxima a 2
Simbólicamente esta situación se expresa:
![]()
Límites laterales
Las aproximaciones realizadas para determinar el límite de una función está relacionada con el concepto de límite lateral, observa la imagen:

Se expresa:
Por la izquierda:
![]()
Por la derecha:
![]()
El signo negativo ( – ) es una referencia del lado izquierdo
El signo positivo ( + ) es la referencia del lado derecho
La lectura que se le da a ambas expresiones simbólicas es:
- límite cuando x tiende a b por la izquierda es L
- límite cuando x tiende a b por la derecha es M
Existencia de límites
La existencia o la no existencia del límite de una función depende de los límites laterales. Si se generan los mismos límites laterales (por la izquierda y por la derecha) entonces existe un límite de la función, pero si se generan distintos límites laterales (por la izquierda y por la derecha) el límite de la función no existe.
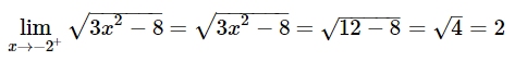
Ejemplo: Realizar la gráfica de f ( x ) y determinar los límites laterales cuando x tiende a 2.

Gráfica:

- Límite lateral izquierdo:
![]()
En la gráfica puedes observar que cuando x tiende a 2– la función f ( x ) = 2
- Límite lateral derecho:

En la gráfica puedes observar que cuando x tiende a 2+ la función f ( x ) = 1
El resultado de los límites laterales no coinciden, esto quiere decir que el límite de la función f ( x ) NO EXISTE
Cálculo de límites
Los límites se pueden resolver ya sea aplicando propiedades o por el principio de sustitución.
Aplicando propiedades
![]()
Donde: c = constante
| 1. | Límite de una constante |
| 2. | Límite de una variable |
| 3. | Límite de una suma de funciones |
| 4. | Límite de una resta de funciones |
| 5. | Límite de una constante multiplicada por una función |
| 6. | Límite de una función multiplicada por otra función |
| 7. | Límite de una función dividida por otra función |
| 8. | Límite de una potencia |
| 9. | Límite de la potencia de una función |
| 10. | Límite de una raíz |
| 11. | Límite de una raíz enésima de una función |
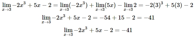
Principio de sustitución directa
Este principio consiste en sustituir x = a directamente en la función f ( x ) y así obtener el valor del límite.
Ejemplo: Calcula los siguientes límites aplicando las propiedades y el método de sustitución directa
![]()
![]()
Solución (aplicando propiedades)


Solución (aplicando el método de sustitución directa)


Igualdades simbólicas que se deben considerar en el cálculo de límites
Donde k es una constante
| $$k.0=0$$ | $$\frac{k}{0}=\infty $$ |
| $$\frac{0}{k}=0$$ | $$k.\infty=\infty$$ |
| $$\frac{k}{\infty}=0$$ | $$\frac{\infty}{k}=\infty$$ |
| $$k\pm \infty=\pm \infty$$ | $$(\pm \infty)+(\pm \infty)=\pm \infty$$ |
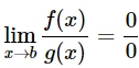
Límites de funciones indeterminadas
Indeterminada 0/0
Cuando se calcula el límite de alguna función y presenta resultado como el siguiente:
$$\frac{0}{0}$$
Es una indeterminación que se debe eliminar aplicando ya sea factorización o racionalización para así obtener una expresión equivalente.
Pasos para eliminar la indeterminación
- Efectúe la sustitución directa.
- Hallar la expresión equivalente a través de la factorización o racionalización.
- Determinar los límites laterales.
Nota: Si son límites de funciones racionales y radicales solo debes aplicar los pasos # 1 y # 2.
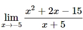
Límites de funciones racionales con indeterminación 0/0
Los límites de funciones racionales indeterminados son polinomios ubicados en el numerador y en el denominador, su forma es la siguiente:

Para la eliminación de la indeterminación se debe aplicar la factorización.
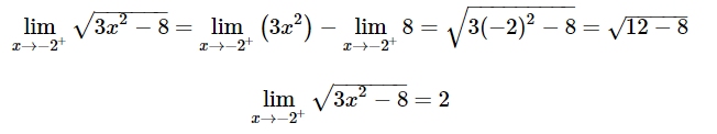
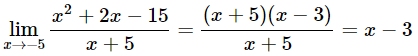
Ejemplo: Determinar el siguiente límite

| 1. | Efectúa la sustitución directa | ![]() |
| 2. | Factorización | ![]() |
| 3. | Sustitución | |
| 4. | Resultado | ![]() |
Límites de funciones radicales con indeterminación 0/0
Estos tipos de límites indeterminados están compuestos por funciones radicales f ( x ) y g ( x ) y su forma es la siguiente:

Para eliminar la indeterminación se debe racionalizar ya sea en el numerador o en el denominador o muchas veces también se debe racionalizar ambos.
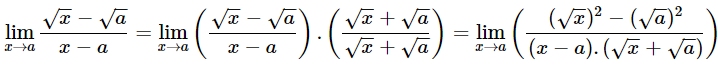
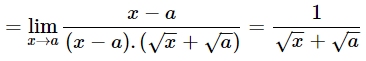
Ejemplo: Calcular el siguiente límite

| 1. | Efectúa la sustitución directa | ![]() |
| 2. | Racionalización | ![]() |
![]() | ||
| 3. | Sustitución | ![]() |
| 4. | Resultado | ![]() |
Límites de funciones trigonométricas indeterminadas 0/0
Se calcula por sustitución directa, si el resultado es indeterminado 0/0 se elimina aplicando identidades trigonométricas.
Ejemplo: Calcular el siguiente límite trigonométrico

| 1. | Por efecto de gusto se transforma a grados sexagesimales | ![]() |
| 2. | Sustitución | ![]() |
| 3. | Se aplica identidades para eliminar la indeterminada | ![]() |
| 4. | Se aplica la sustitución | |
| 5. | Resultado | ![]() |
Límites infinitos y límites en el infinito
Límites infinitos
Cuando una función f ( x ) está en crecimiento o en decrecimiento sin cota cuando x tiende a un valor «b«, el límite no existe.
La cota es un número ubicado en el eje “y” y representa un valor máximo o mínimo de una función. Por ejemplo observe la cota de la siguiente función:

f ( x ) = x2 + 2
El dominio es ℜ
El rango es [ 2 , ∞ )
Cota: 2 es su cota inferior para todos los elementos del rango de la función
Forma de escribir un límite sin cota en crecimiento y en decrecimiento
En crecimiento la forma es:
![]()
En decrecimiento la forma es:
![]()
Ejemplo: Crear la tabla de valores, gráfica y determinar el límite de la función

| Tabla de valores | Gráfica |
No existe límite ya que:Por la izquierda
Por la derecha
| ![]() |
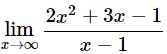
Límites en el infinito
Los límites en el infinito es cuando la variable ( x ) está en crecimiento o en decrecimiento sin cota y la función f ( x ) se acerca a valores específicos L y M. Estos límites se expresan de la siguiente manera:
![]()
Y se lee así:
- “El límite de la función es M cuando x tiende a menos infinito»
- “El límite de la función es L cuando x tiende al infinito»
Se presentan dos casos para calcular estos tipos de límites:
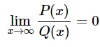
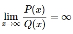
- Caso # 1. Cuando posee la siguiente forma:

Esto quiere decir cuando existe una expresión racional y el numerador es una constante el resultado del límite cuando x tiende al infinito es cero - Caso # 2. Cuando su forma es:
En este caso se presenta una nueva indeterminación y es$$\frac{\infty }{\infty}$$
Indeterminada ∞/∞
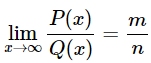
Para poder eliminar la indeterminación ∞/∞ se debe dividir el numerador y el denominador de la función entre la potencia de mayor grado, donde también debe considerarse tres criterios:
A. Si el grado del polinomio P( x ) > Q( x ) el límite de la función racional es
B. Si el grado del polinomio P( x ) < Q( x ) el límite de la función racional es
C. Si el grado del polinomio P( x ) = Q( x ) el límite de la función racional es
Donde m y n son los coeficientes de los términos de mayor grado de los polinomios P( x ) y Q( x ) respectivamente.
Ejemplos para determinar límites en el infinito ∞/∞

Según el criterio (A) el resultado es: ∞
Observa el desarrollo:
- Se divide cada término entre la variable de mayor grado de toda la expresión

Observa la función del otro límite y según el criterio (B) el resultado es: 0
Desarrollo:
- Dividir cada término entre la variable de mayor grado de toda la expresión

Según el criterio (C) el resultado es: 5/2
![]()
Para probarlo debes aplicar lo mismo a los otros ejemplos anteriores, es decir dividir el numerador y el denominador de la función racional entre x2
Cálculo de asíntotas de una función
Asíntotas horizontales
Cuando la recta y = b es una asíntota horizontal de la función f ( x ), si el límite es así:
![]()
Ejemplo: Determinar la asíntota horizontal de la siguiente función
![]()
- Se aplica el límite en el infinito y se calcula

- Se aplica el criterio (C) y el resultado es: $$\frac{4}{3}$$
- Esto quiere decir que cuando x → ± ∞ , f ( x ) → 4/3
- Por lo tanto f ( x ) = 4/3 es una recta llamada asíntota horizontal de la función f ( x )
- Vea la gráfica

Asíntotas verticales
Cuando la recta x = a es una asíntota vertical de la función f ( x ), si el límite es así:
![]()
Ejemplo: Determinar la asíntota vertical de la siguiente función:
![]()
- Se factoriza el denominador para saber donde la función se hace indeterminada

Entonces la función no está definida para los valores de x = 2 ∧ x = -1, por lo tanto esas son las asíntotas de la función - Se aplica el límite de los valores encontrados y se determina sus límites laterales




- Vea la gráfica

Asíntotas oblicuas
Cuando una función posee asíntota oblicua si ![]()
donde: m ∈ ℜ – {0}
m = pendiente de la recta
Entonces y = mx + b es la ecuación de la asíntota de la función f ( x ) si:
![]()
![]()
![]()
Pasos para determinar las asíntotas oblicuas
- Se calcula el límite cuando x → ±∞, dividiendo la función f ( x ) entre x, si da una constante quiere decir que posee una asíntota oblicua y esta constante es la pendiente ( m ) de la asíntota.
![]()
- Se determina b ( intercepto con el eje y ), aplicando el límite
![]()
- Se escribe la ecuación explícita de la recta
f ( x )=mx + b
Ejemplo: Determinar si la función f ( x ) posee asíntota oblicua y si es así escriba su ecuación realice la tabla de valores y su gráfica
![]()
- Se determina si posee asíntota oblicua
![]()
Si posee asíntota oblicua y la pendiente de la misma es m = 1/3
- Se determina b
![]()
![]()
- La ecuación de la asíntota es f ( x ) = x/3
- También posee una asíntota vertical x = 0
- Los interceptos en el eje “x” es igualar el numerador a cero. x = ± 3
- No existe intercepto en el eje “y”
| Tabla de valores | Gráfica |
![]() | ![]() |
Actividades
I. La función f (x) definida como:

a. Grafica la función
b. Determine:
![]()
c. ¿Existe el límite
? Justifica tu respuesta.

















No existe límite ya que:

En este caso se presenta una nueva indeterminación y es$$\frac{\infty }{\infty}$$




