El método reducción es uno de cuatro métodos para solucionar un sistema de ecuaciones lineales, su procedimiento es muy sencillo y se basa en lo analítico. Es decir, en la manipulación de las ecuaciones dadas sin la necesidad de generar gráficos (Método gráfico).
| El método de reducción, también llamado método de eliminación, consiste en transformar las ecuaciones de un sistema de manera que una de las incógnitas tenga coeficientes iguales pero con signos opuestos. Al sumar o restar las ecuaciones, una incógnita se elimina, lo que permite obtener una nueva ecuación con una sola variable. Luego, se resuelve esa variable y se sustituye su valor para encontrar la otra. |
Pasos para aplicar el método de reducción
1.Seleccionar una variable que desees eliminar y tomar sus coeficientes.
2.Generar nuevamente el sistema de ecuaciones y los coeficientes encontrados posicionarlos fuera de la llave en forma cruzada.
3.Multiplicar los coeficientes que están fuera de la llave por todos los términos de la ecuación, finalmente los términos de esa variable seleccionada deben ser iguales con diferentes signos.
4.Sumar ambas ecuaciones transformadas con el objetivo de eliminar esa variable seleccionada.
5.Despejar la variable que queda.
6.Hallar el valor de la incógnita faltante sustituyendo el resultado del paso # 5 en cualquiera de las ecuaciones originales.
7.Comprobar los valores encontrados. Seleccione cualquier ecuación original.
Tutorial Método de Reducción
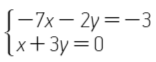
Ejemplo # 1
Resolver el siguiente sistema de ecuaciones lineales aplicando el método de reducción.
![]()
Solución
1.Selecciona la variable “y”
Se selecciona la variable “y” para eliminarla. Sus coeficientes 4 y 3.
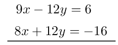
2. Generar nuevamente el sistema de ecuaciones
Generar nuevamente el sistema de ecuaciones con los coeficientes de la variable “y” fuera de la llave y de forma cruzada.
![]()
3. Multiplicar los coeficientes 3 y 4
Multiplicar los coeficientes 3 y 4 por todos los términos de la ecuación.


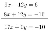
4. Sumar ambas ecuaciones
Sumar ambas ecuaciones (Aplicar la ley de signos de la suma algebraica).

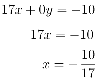
5. Despejar la «x»
Despejar la variable.

6. Determina el valor de «y»
Hallar el valor de la otra incógnita, en este ejemplo se selecciona la primera ecuación.
3x – 4y = 2

7. Comprobar los valores obtenidos
Comprobar los valores de x e y.
Para este ejercicio se selecciona la primera ecuación y se sustituye los valores de x e y.
3x – 4y = 2

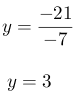
Finalmente el resultado es una solución, el punto de coordenada es:
![]()
Quiere decir que tiene una solución y es compatible determinado.
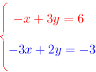
Ejemplo # 2
Resolver el siguiente sistema de ecuaciones lineales aplicando el método de reducción.

Solución
1. Selecciona una variable para eliminarla
Se selecciona la variable “x” para eliminarla. Sus coeficientes son 1 y 3 y para que su resultado se anule se le agrega el signo negativo al número 3, es decir -3.
2. Genera un nuevo sistema de ecuaciones
Generar nuevamente el sistema de ecuaciones con los coeficientes de la variable “y” fuera de la llave y de forma cruzada.

3. Multiplica los coeficientes -3 y 1
Multiplicar los coeficientes -3 y 1 por todos los términos de cada ecuación.

4. Realiza la suma de ambas ecuaciones
Sumar ambas ecuaciones (Aplicar la ley de signos de la suma algebraica).

5. Despejar la «y»
Despejar la variable para obtener el valor de “y”

6. Determina el valor de «X»
Hallar el valor de “x” , en este ejemplo se selecciona la segunda ecuación.

7. Comprobar los resultados obtenidos
Comprobar los valores encontrados de x e y.
En este ejemplo se selecciona la segunda ecuación original y se sustituye los valores de x e y.

Como ambos números son iguales quiere decir que los valores encontrados de x e y son correctos.
Por lo tanto tiene una solución y es compatible determinado.
El punto de coordenada encontrado es:
![]()
¿Quieres practicar más con un tutor?
Podemos preparar una sesión personalizada con ejercicios guiados, resolución paso a paso y seguimiento del progreso.
Actividades
Busque el número por el que se debe multiplicar cada ecuación para que se pueda eliminar la variable que se indica.

Determina si el punto (1,-2) es solución del sistema.

Calcula la solución del sistema de ecuaciones aplicando el método de reducción.

Ayúdanos a seguir creando contenidos de valor como este método de reducción, comenta y comparte.

