Si estás buscando proporcionalidad directa y su aplicación en la vida diaria has llegado al sitio indicado. ¿Sabías que cuando compras más caramelos, el precio total aumenta proporcionalmente? Pasa lo mismo cuando duplicas la cantidad de harina en una receta, obtendrás el doble de galletas. Estos son algunos ejemplos de proporcionalidad directa, un concepto matemático que está presente en muchas situaciones de nuestra vida cotidiana.
¿Qué es una proporcionalidad directa?
| Es una razón que debe poseer dos magnitudes directamente correlacionadas, y a su vez deben ser magnitudes directamente proporcionales. |
¿Qué son magnitudes directamente correlacionadas?
Son magnitudes que tienen el mismo comportamiento, es decir, una aumenta y la otra también aumenta, o al disminuir una la otra también disminuye.
Ejemplo: Cuando disminuyes la cantidad de frutas para la preparación de un jugo también disminuye las cantidades de vasos a servir.
Magnitud # 1. Frutas = disminuidas.
Magnitud # 2. Vasos = disminuidos.
¿Qué son magnitudes directamente proporcionales?
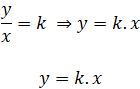
Dos magnitudes son directamente proporcionales cuando su razón permanece constante. Esta constante se conoce como constante de proporcionalidad, representada por la letra k.
Su expresión es:
![]()
Donde, las letras “y” y “x” simbolizan las magnitudes.
Al despejar “y” en la razón, la expresión se transforma en una ecuación lineal:

Observa que la expresión es una ecuación de primer grado y, debido a esto, representa una función lineal.
¿La función lineal es una relación de proporcionalidad directa?
Sí, es una relación de proporcionalidad directa entre dos magnitudes y y x.
Al ser una función lineal, al graficarla crea una recta que siempre pasa por el origen (0,0) del plano cartesiano.
Donde, k representa la pendiente de la recta, indicando la razón de cambio constante entre ambas magnitudes y y x.
¿Qué pasa si la recta no pasa por el origen del plano cartesiano?
No es una función lineal y por lo tanto sus magnitudes no son directamente proporcionales. Al no pasar por el origen es una función afín.
Ejemplos de proporcionalidad resueltos paso a paso
A continuación, las magnitudes son mostradas por medio de tabla de valores y en el plano cartesiano. El objetivo es identificar cuando las magnitudes son directamente correlacionadas y directamente proporcionales.
a) La información que muestra la tabla es dar a conocer la cantidad de obreros que tardan en hacer una obra.
Análisis:
Se observa que a medida que aumenta los obreros el tiempo disminuye.
Conclusión:
No son magnitudes directamente correlacionadas y, por lo tanto, tampoco son directamente proporcionales.
b) En la gráfica se muestra una relación de distancia-tiempo.
Análisis:
Al aumentar la distancia el tiempo también aumenta.
Son magnitudes directamente correlacionadas y como es una función lineal que pasa por el origen (0,0) del plano cartesiano, son también magnitudes directamente proporcionales.
Su función es:
![]()
Se calcula k para conocer la pendiente de la recta, aplicando la relación:
![]()
Se escoge cualquier punto graficado de la recta, para este caso se selecciona el punto (1,4).

Observa que el resultado de k es 4m/h, lo que representa una nueva magnitud, ya que combina dos unidades: metros (m) y horas (h).
Esta nueva magnitud se conoce como velocidad.
Entonces, la función de la gráfica es:
![]()
Conclusión:
Dado que la distancia y el tiempo son magnitudes directamente proporcionales, la constante de proporcionalidad k = 4 representa la velocidad a la que se mueve el móvil.
c) En esta situación muestra la relación costo-tiempo.
Análisis:
Al aumentar el costo aumenta el tiempo.
En la gráfica se aprecia que la línea no pasa por el origen del plano cartesiano.
Conclusión:
Cómo línea no pasa por el origen del plano cartesiano, las magnitudes no so directamente proporcionales y por ende no existe constante de proporcionalidad “k”.
El tipo de función es función afín.
d) En esta representación gráfica muestra la relación costo-cantidad.
Análisis:
El costo disminuye mientras que la cantidad aumenta
Conclusión:
Dado que existe una contradicción entre las magnitudes, no pueden considerarse directamente correlacionadas y, por lo tanto, tampoco son directamente proporcionales.
A Jugar con la Proporcionalidad Directa en movimiento
Bienvenido a la simulación de Proporcionalidad Directa en movimiento.
En esta actividad interactiva, explorarás cómo la distancia recorrida por un camión y un vehículo está relacionada con el tiempo.
¿Cómo jugar?
- Usa los botones verde y rojo para modificar la velocidad del camión y del vehículo.
- Observa cómo cambian las gráficas en la ventana izquierda y la posición de los vehículos en la derecha.
- Identifica la relación entre el tiempo y la distancia recorrida.
- Analiza cada punto en la gráfica y cómo representan la proporcionalidad.
- Responde las preguntas al final para reforzar tu aprendizaje.
¿Cuál es el objetivo del juego?
Comprender cómo la razón de cambio constante en las funciones lineales representan la velocidad de los vehículo y cómo esto se refleja en una situación real.
Laboratorio Virtual: Fortalece tus conocimientos
Ahora que ya tienes conocimiento del simulador, llegó el momento de poner a prueba lo que has aprendido, ingresa al simulador y responde las 6 preguntas.
- ¿Cómo puedes saber si la relación entre la distancia y el tiempo es proporcional?
- Si el camión tiene una mayor pendiente en la gráfica que el vehículo, ¿qué significa esto en términos de velocidad?
- ¿Qué representan los puntos (13, 1280) y (20, 560) en la gráfica?
- ¿Qué sucede si aumentas la pendiente de la función roja? Explica cómo afecta la posición del vehículo en la recta real ubicada en lado derecho.
- Encuentra las funciones de ambas rectas.
- Con relación con vida cotidiana. Menciona tres ejemplos cotidianos donde puedas aplicar el concepto de proporcionalidad directa.
¿Quieres practicar más con un tutor?
Podemos preparar una sesión personalizada con ejercicios guiados, resolución paso a paso y seguimiento del progreso.
Actividades
a. Grafica y determina la constante de proporcionalidad en la siguiente información

b. Diga cuál de las siguientes gráficas representan magnitudes directamente proporcionales (justifique). Las que sean magnitudes directamente proporcionales, determina la constante de proporcionalidad.
c. En el planeta Marte, debido a la gravedad, el peso de una persona es aproximadamente 19/50 de su peso en la Tierra.
![]()
- Completa la tabla que relaciona los distintos pesos en kilogramos en la Tierra con su peso en Marte.
- Crea la gráfica.
- Si una persona su peso en Marte es de 15kg ¿cuánto kilogramos pesa en la Tierra?
d. Treinta vacas producen 1200 litros de leche diariamente. Además, con 120 litros de leche se pueden elaborar 15 kg de queso.
- ¿Cuántos litros de leche se requieren para obtener 1 kg de queso?
- ¿Cuántos días tardará la producción de leche necesaria para fabricar 600 kg de queso?
