¿Sabías que la razón y proporción están presentes en muchas situaciones de nuestra vida cotidiana? Por ejemplo, en las recetas de cocina, los ingredientes se ajustan según la cantidad de porciones, lo que representa una razón. Del mismo modo, al calcular distancias en un mapa con una escala o comparar la velocidad de dos vehículos, estamos aplicando proporciones.
¿Qué es la razón?
| Es una relación o comparación entre dos magnitudes, ya sean iguales o diferentes, expresada en forma de fracción. Esto permite expresar cuántas veces una contiene a la otra.
|
Ejemplo, la relación entre la distancia recorrida por un ciclista representado con la letra d (en kilómetros) y el tiempo con la t (en horas), son dos magnitudes diferentes formando una razón:
La expresión de sus unidades de medidas:![]()
¿Se puede escribir las razones de otra forma?
Sí, a : b
Donde: b ≠ 0
¿Qué nombre posee sus elementos a y b?
El nombre del primer elemento “a” es antecedente y el segundo es “b” consecuente.
¿Cómo se puede leer?
Su lectura es: a es a b
Ejemplos de razones
A continuación, mostraré distintas situaciones para aplicar razones. Siempre debes simplificar la expresión de la razón.
1) En la ciudad llamada “x” por cada 6 perros existe 4 gatos.
La razón es: 6 perros : 4 gatos, es decir: 3 : 2.
Conclusión: Existen 3 perros por cada 2 gatos
2) En un colegio, quince de cada veinte son de sexo masculino.
La razón de estudiantes masculinos a estudiantes totales es 15:20, es decir, 3:4.
![]()
3) Representa la expresión: 8 es a 15 en forma de una razón.

4) De los 40 asistentes a una reunión empresarial, 25 son mujeres. ¿Cuál es la relación entre el número de asistentes mujeres y el número de asistentes hombres?

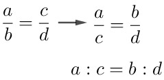
¿Qué es la proporción?
| Es una herramienta que permite comparar dos magnitudes y establecer relaciones entre ellas. En otras palabras es una igualdad entre dos razones.
|
¿Cómo se lee?
Se lee: a es a b como c es a d
¿Qué nombre reciben los elementos de una proporción?
Los elementos de una proporción reciben el nombre de extremos y medios.

Al escribir la proporción de esta otra forma puede apreciarse mejor cuando sus elementos son extremos y medios:
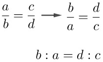
a : b = c : d
- a y d, son elementos extremos porque se encuentran en los extremos de la proporción.

- b y c, son elementos medios porque están en la parte central de la proporción.

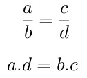
Teoremas de proporciones
A lo largo de la historia, se han formulado distintos teoremas que facilitan la resolución de problemas proporcionales garantizando las igualdades entre razones.
A continuación, los teoremas de las proporciones son tres:
Teorema 1. En toda proporción el producto de los extremos es igual al producto de los medios.
Teorema 2. En una proporción pueden intercambiarse el segundo y tercer término, obteniéndose una proporción cierta.
Teorema 3. En una proporción puede invertir las razones.

Tipos de proporciones
Las proporciones se clasifican en continuas y discretas según sus elementos.
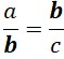
Proporción continua
Es una proporción continua cuando los elementos medios son iguales.

Es decir, que:
a : b = b : c
Ejemplo:
![]()
En este caso los elementos medios de la proporción son iguales, por lo tanto, el tipo de proporción es continua.
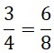
Proporción discreta
Es cuando todos los elementos de la proporción son distintos.
![]()
Ejemplo:

Observa que todos los elementos de la proporción son diferentes.
Ejemplos de proporciones
Determinar si el par de razones forma una proporción.

Soluciones
a) Aplicando el Teorema 1:

Ambas razones no crea una proporción.
b) Por el Teorema 1:

Ambas razones forman una proporción, por lo tanto:

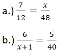
Hallar el valor de x en cada proporción.

Solución a):

Solución b):

Juega con las razones y las proporciones
¿Alguna vez te has preguntado cómo se aplican la razón y la proporción en la vida cotidiana? Con esta increíble simulación interactiva, podrás experimentar, resolver desafíos y descubrir cómo estas relaciones matemáticas están en todas partes.
La simulación tiene dos ventanas, la primera tienes 3 desafíos y debes descubrir la razón en cada una de ellas, la segunda diseñas una razón y en función a ella creas las proporciones.
El juego es muy fácil, lo que debes hacer en el simulador es mover las manitos hacia arriba o hacia abajo. La mano izquierda representa el antecedente y la derecha el consecuente.
Laboratorio Virtual: Fortalece tus conocimientos
Ahora que ya tienes conocimiento del simulador, llegó el momento de poner a prueba lo que has aprendido, ingresa al simulador y responde las 5 preguntas de cada ventana.
Ventana # 1. Descubrir la razón
- ¿Descubriste la razón del primer desafío?¿Cuál es la razón?
- ¿Revelaste la razón del segundo desafío?¿Cuál es la razón?
- ¿Encontraste la razón del tercer desafío?¿Cuál es la razón?
- ¿Existirá otras razones equivalentes del desafío 1?
- ¿Qué sucede con la razón si duplicas ambas cantidades al mismo tiempo?
Ventana # 2. Crear proporciones.
Al ingresar a esta ventana, establece una razón en “Mi desafío” y produce proporciones.
- ¿Qué razón estableciste?
- ¿Cuántas proporciones creaste en función a la razón establecida?
- Si la proporción inicial es 2:3 y duplicas ambas cantidades, ¿sigue siendo equivalente? ¿Por qué?
- Si en la simulación hay 8 bloques azules y 12 bloques rojos, ¿puedes encontrar una proporción equivalente con números más pequeños?
- Expresa al menos una proporción de la pregunta 4?
¿Quieres practicar más con un tutor?
Podemos preparar una sesión personalizada con ejercicios guiados, resolución paso a paso y seguimiento del progreso.
Actividades
A. Utiliza una razón para representar las siguientes situaciones de la vida diaria:
- En una escuela de música, ocho de cada diez estudiantes tienen un computador portátil.
- Un equipo de beisbol ha ganado cinco de cada 7 partidos jugados.
- En el zoológico cinco de cada diez personas son niños.
B. Representa cada expresión en una razón:
- 6 es a 11
- 25 es a 1/2
- 1/5 es a 13
C. Resuelve:
- El largo de una cancha de fútbol sala es de 40m y el ancho 20 metros. ¿Cuál es la razón entre el ancho y el largo?
- David necesita conocer la razón entre la estatura de su papá y él. El padre mide 1,62m y David 1,55m.
- Adriana compró una bolsa de papas de 4kg a $12 y otra bolsa de 6kg a $18. ¿En cuál de los dos casos resulta más económico el kilogramo de papa?
D. Determina la razón. En una iglesia hay 85 mujeres y 70 hombres:
- La razón entre el número de mujeres y el número de hombres en la iglesia.
- La razón entre el número de mujeres y el número de asistencia a la iglesia.
- La razón entre el número de hombres y el número de asistentes a la iglesia.
E. Identifica las razones que forman una proporción en los siguientes casos:
- 3/7 y 6/10
- 4/6 y 8/18
- 2/4 y 3,5/7
F. Encuentra una razón que forme una proporción:
- 5/9=
- 24/48=
- 3/4=
- 0,5/4=
G. Determinar el valor de x en cada proporción:
- 2/12 = x/48
- 6 : x+1 = 5 : 40
- 0,4 : x-1 =10 : 4,5
- 1/2 = 5/x
H. Interpreta, escribe la razón que represente y determina si forma una proporción:
- La mitad de las 350 aves de un galpón M, están contagiadas de gripe aviar. De las 220 aves de un galpón N, 200 están contagiadas de gripe aviar.
I. Resuelve:
- Con 150g de harina se preparan 8 galletas. ¿Cuántos gramos de harina se necesitan para preparar 34 galletas?
- En una escuela la cantidad de profesores debe ser proporcional a la cantidad de estudiantes. Si se deben contratar 2 profesores por cada 30 estudiantes y, actualmente, hay en la escuela 26 profesores y 390 estudiantes. ¿Se está cumpliendo la proporción de profesores y estudiantes en la escuela?
J. Diga si la proporción es continua o discreta:
- 2/0,2 = 0,2/0,02
- 4/10 = 100/250
- 9/10 = 4,5/5
Respuestas
A continuación, aquí tienes las respuestas estructuradas por partes:
A
- 8:10
- 5:7
- 5:10
B
- 6:11
- 25:1/2
- 1/5:13
C
- Razón ancho/largo: 1:2.
- Razón estatura padre/David: 162:155 o 1,62:1,55.
- Más económico: Ambas bolsas tienen el mismo precio por kg.
D
- Mujeres : hombres = 85:70
- Mujeres : asistentes = 85:155
- Hombres : asistentes = 70:155
E
- No forman proporción.
- No forman proporción.
- Sí forman proporción.
F
- 5/9 = 10/18
- 24/48 = 1/2
- 3/4 = 6/8
- 0,5/4 = 1/8
G
- x = 8
- x = 47
- x = 1,3
- x =10
H
- Razón en galpón M: 175:350 (1:2)
- Razón en galpón N: 200:220
- No forman una proporción.
I
- Gramos de harina para 34 galletas: 637,5g.
- Sí se cumple la proporción.
J
- Continua (el medio se repite: 0,2).
- Discreta.
- Discreta.
Si te gustó este contenido, no olvides dejar tus comentarios y compartir. 😊
