¿Sabías que la función cuadrática está presente en la vida diaria? Esto es, desde la trayectoria de un balón hasta el diseño de puentes. Graficar parábolas no solo es una habilidad matemática, sino también una forma divertida de visualizar cómo cambian las ecuaciones cuadráticas en el plano cartesiano. Si quieres profundizar en este fascinante tema, te invito que leas este post y aprenderás paso a paso desde la identificación de una parábola hasta graficarla de forma correcta.
¿Qué es una función cuadrática?
| Es una función real de variable real (𝑥 ∈ ℜ), en la que a cada valor de la variable independiente 𝑥 le corresponde como imagen un polinomio de segundo grado.
Donde: a, b y c son los coeficientes de la expresión. |
¿Qué es una parábola?
| Es el conjunto de puntos que equidistan de un punto fijo llamado foco y una línea fija llamada directriz. |
Características de la parábola
Es muy importante conocer las características de la parábola, ya que permite analizar su comportamiento y su representación gráfica. A continuación, sus características:
I. Es una curva simétrica cuyo eje de simetría pasa por un punto extremo, llamado vértice.
II. El eje de simetría crea dos lados que se extienden en direcciones opuestas: uno hacia la izquierda y el otro hacia la derecha, denominado ramas.
III. Los coeficientes (a, b, c) de la función cuadrática determinan la posición y la forma de la parábola.
IV. Las funciones específicas de cada coeficiente son las siguientes:
- a = Define la concavidad de la parábola, lo que determina si el punto vértice es un mínimo o un máximo.
- b = Posiciona el eje de simetría en dirección horizontal. Esto quiere decir que, al realizar cambios en b el punto vértice se desplazaría horizontalmente.
- c = Es el intercepto con el eje “y”. Donde un punto de la rama toca el eje de las ordenadas. Cuando se varía c la parábola se mueve verticalmente.
Juega con los coeficientes de la función cuadrática
En este juego verás como los coeficientes de una función cuadrática afecta la forma y la posición de la parábola.
Consiste en 3 botones deslizantes y cada uno representa un coeficiente.
Te invito a experimentar, jugar y descubrir por ti mismo cómo cada coeficiente transforma la parábola. ¡Explora y saca tus propias conclusiones!
Pasos para graficar funciones cuadráticas
Para graficar funciones cuadráticas:
![]()
Es recomendable llevar a cabo 6 pasos clave, los cuales son los siguientes:
I. Extraer los coeficientes de la función cuadrática
Las funciones cuadráticas pueden presentarse desde un término en adelante.
- Coeficiente # 1 = a
- Coeficiente # 2 = b
- Coeficiente # 3 = c
II. Identificar el tipo de concavidad y el tipo de vértice
El coeficiente encargado es a.
- Sí, a > 0. La parábola es cóncava hacia arriba y el punto vértice se comporta como un punto mínimo.
- Sí, a < 0. La parábola es cóncava hacia abajo y el punto vértice se comporta como un punto máximo.
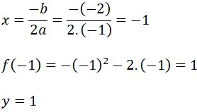
III. Calcular el punto vértice

Donde f (x) es la función dada.
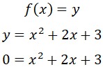
IV. Determinar los interceptos
Para conseguir los interceptos o los puntos de cortes, primero debes igualar a cero a y y x.
y = 0 ; x = 0
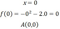
Interceptos de y :
x = 0
Aquí, debes reemplazar o sustituir x = 0 en la función dada, quedando así:
![]()
y = c
Entonces, se obtiene el primer punto intercepto:
![]()
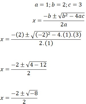
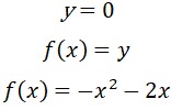
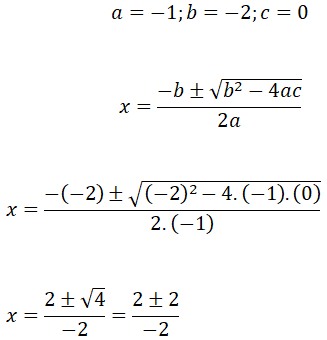
Interceptos de x :

Aplicar la fórmula general de la ecuación cuadrática llamada también resolvente o Bhaskara para hallar las raíces.

El discriminante es la expresión ubicada dentro de la raíz cuadrada en la fórmula general y determina los tres posibles tipos de soluciones de la ecuación cuadrática.
![]()
Posibles soluciones del discriminante.
a. Sí,
(Resultado positivo).
- La ecuación cuadrática posee dos raíces.
- Las ramas izquierda y derecha pasa por el eje x .
b. Sí,
(Resultado negativo).
- No existen raíces o soluciones reales.
- Las ramas no cruzan por el eje “ x “.
- La parábola queda por encima o por debajo del eje “ x “.
c. Sí, ![]()
- La ecuación cuadrática posee una sola raíz.
- El vértice de la parábola toca un punto del eje “ x “.
Entonces, se puede obtener hasta dos puntos o simplemente ninguno, esto quedaría de la siguiente manera:
- Un punto B( x1, 0 ).
- Dos puntos B( x1, 0 ); B( x2, 0 ) o
- Ningún punto (No existe interceptos).
V. Crear la tabla de valores
Muchas veces los puntos obtenidos (interceptos con los ejes “x ” y “y ”, junto con el punto vértice) no son suficientes para representar la gráfica con precisión.
La recomendación es:
Elegir valores de “ x “ cercanos al vértice o algún punto intercepto que facilite la prolongación de una de las ramas, lo que permitirá una representación adecuada.
VI. Graficar
Debes tener en cuenta las siguientes recomendaciones para poder graficar:
- Escoge una escala acorde en función a los puntos obtenidos, tanto para el el eje “x ” y el eje “y ” y dibuja el cuadrante o los cuadrantes donde se encuentre la parábola.
- Grafica todos los puntos, notarás como esos puntos generan la forma de una rama.
- Dibuja una recta que pase por el vértice de la parábola, representando el eje de simetría de la parábola.
- Aplica simetría axial, en cada punto traza una línea segmentada y perpendicular al eje de simetría, para obtener la imagen que es la otra rama.
- Une cada punto y ¡listo! Ya tienes la parábola.
Ejemplos prácticos de gráficos de funciones cuadráticas
Por medio de estos ejemplos prácticos, aprenderás a graficar las funciones cuadráticas aplicando los seis pasos.
I. Coeficientes
![]()
II. Tipo de concavidad y tipo de vértice
![]()
Cóncava hacia arriba con un punto mínimo (vértice)
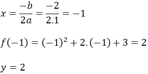
III. Cálculo del punto vértice
Sustituyendo los coeficientes queda así:

El punto vértice es:
![]()
IV. Interceptos
| Intercepto en “y” → x = 0
| Intercepto en “x ” → y = 0
Se aplica la fórmula general:
Como el discriminante es:
No existen raíces. Dado que la parábola es cóncava hacia arriba, su vértice se ubicará por encima del eje “ x “. |
V. Tabla de valores
Solo se cuenta con dos puntos:

Por lo tanto, es necesario buscar valores cercanos con el intercepto con “y”, para agrandar la rama.
| x | y | Pto. | |
| 1 | 6 | (1,6) | |
| 2 | 11 | (2,11) |
VI. Graficar
Se grafica los cuatro puntos obtenidos, observa la imagen:

Ahora aplica simetría axial de esos puntos graficados para obtener la imagen.

Une cada punto para obtener la parábola.

I. Selección de los coeficientes
![]()
II. Concavidad y vértice
![]()
Es Cóncava hacia abajo, por lo tanto posee un punto máximo.
III. Determinar el valor del punto vértice

Reemplazar los coeficientes en la fórmula:

El punto vértice es:
![]()
IV. Calcular los interceptos o puntos cortes
Pto. de corte en “y”
| Intercepto en “x ”
Se aplica la fórmula general:
Como el discriminante es > 0 Se obtiene dos raíces.
Los puntos de cortes con el eje “x” son:
|
V. Construcción de tabla de valores
Se cuenta con los puntos:
![]()
VI. Graficar
Graficando esos puntos se ve así:

Es obligatorio crear la tabla de valores para prolongar cualquier rama de la parábola. Para este ejemplo se selecciona valores del lado izquierdo del punto vértice para prolongar esa rama.
| x | y | Pto. | |
| -3 | -3 | (-3,-3) | |
| -4 | -8 | (-4,-8) |
Los puntos en total son:
![]()
En la gráfica se mostrará 5 puntos ya que existen dos puntos igualados.

Se traza el eje de simetría y se aplica simetría axial, para obtener la imagen de la rama y de esta manera la parábola.

¿Quieres practicar más con un tutor?
Podemos preparar una sesión personalizada con ejercicios guiados, resolución paso a paso y seguimiento del progreso.
Actividades
Grafica las siguientes funciones cuadráticas y aplicando los 6 pasos.








